沈阳生态所建立原位15N成对标记法量化森林树木氮吸收偏好
2021-07-08
沈阳应用生态研究所
【字体:大 中 小】
语音播报
氮元素是限制森林生产力的主要养分元素,不同森林植物可能表现出不同的氮吸收偏好(喜铵或者喜硝),进而减少对氮的种间竞争,促进物种共存。然而,森林植物氮吸收是否存在偏好存在争议,且针对氮吸收偏好没有统一的量化方法。目前,主要研究方法是以15N溶液或土壤作为吸收介质,以氮吸收速率来指示和量化氮吸收偏好。其中,通过15N溶液吸收法研究幼苗或植物根系氮吸收的方法存在明显不足。该方法不能考虑土壤微生物和非生物过程对氮的竞争和固持作用;如果仅以根部为考察对象,则可能高估铵氮吸收。此外,幼苗的研究可能无法反映成年大树原位氮吸收特点和偏好。因此,建立量化野外成年大树氮吸收特点和偏好的方法十分必要。
基于此,星天地娱乐城官网
沈阳应用生态研究所稳定同位素生态学研究团队建立了成年大树原位15N成对标记法,即对树木根际区多点注射标记的铵态氮和硝态氮,追踪植物吸收15N的速率和比例,从而计算出树木氮吸收偏好(图1)。研究人员前期采用该方法量化了我国北方四种主要造林树种的氮吸收偏好(New Phytologist, 229, 3184-3194)。最近,研究人员以不同林龄的成年落叶松为对象,在标记后30天内不同时间段采集叶片、枝条、细根和粗根,测定15N的吸收速率和回收率,进一步探讨采集叶片是否可以反映整株树木的氮吸收状况,以优化采样器官;不同标记时间后所得到的氮吸收偏好是否不同,以优化采样时间。
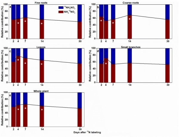
研究发现,采用高丰度的15N标记物(丰度99%以上)对根际土壤进行标记,标记后其氮吸收偏好在30天内无显著差异(图2)。考虑氮吸收的时间和采样操作便利性,建议标记后4天采集乔木叶片即可判断成年大树氮吸收偏好。该方法通过对成年大树根际直接供给和追踪其对不同形态氮吸收和转运,充分考虑土壤氮竞争和固持、氮吸收后的转运,可真实反映成年大树原位氮利用特点。研究预测该方法具有广泛的应用性,可适用于不同类型森林树木,包括阔叶树种。此外,研究人员还系统梳理了以往氮偏好研究方法,发现以溶液作为吸收介质的研究往往得到偏好吸收铵的结果,而对土壤进行标记的研究往往发现更高硝氮吸收,这可能与溶液吸收法排除了土壤微生物和非生物过程对氮,尤其是对铵态氮的竞争和固持有关。
相关研究成果以Quantifying nitrogen uptake and translocation for mature trees: an in situ whole-tree paired 15N labeling method为题,发表在Tree Physiology上。研究工作得到国家重点研发计划项目、国家自然科学基金面上项目、辽宁省“兴辽英才计划”项目等的资助。

图1.成年大树原位15N成对标记法实验示意图
图2.15N标记后,落叶松不同器官对铵态氮和硝态氮吸收和转移比例的时间动态变化
氮元素是限制森林生产力的主要养分元素,不同森林植物可能表现出不同的氮吸收偏好(喜铵或者喜硝),进而减少对氮的种间竞争,促进物种共存。然而,森林植物氮吸收是否存在偏好存在争议,且针对氮吸收偏好没有统一的量化方法。目前,主要研究方法是以15N溶液或土壤作为吸收介质,以氮吸收速率来指示和量化氮吸收偏好。其中,通过15N溶液吸收法研究幼苗或植物根系氮吸收的方法存在明显不足。该方法不能考虑土壤微生物和非生物过程对氮的竞争和固持作用;如果仅以根部为考察对象,则可能高估铵氮吸收。此外,幼苗的研究可能无法反映成年大树原位氮吸收特点和偏好。因此,建立量化野外成年大树氮吸收特点和偏好的方法十分必要。
基于此,星天地娱乐城官网
沈阳应用生态研究所稳定同位素生态学研究团队建立了成年大树原位15N成对标记法,即对树木根际区多点注射标记的铵态氮和硝态氮,追踪植物吸收15N的速率和比例,从而计算出树木氮吸收偏好(图1)。研究人员前期采用该方法量化了我国北方四种主要造林树种的氮吸收偏好(New Phytologist, 229, 3184-3194)。最近,研究人员以不同林龄的成年落叶松为对象,在标记后30天内不同时间段采集叶片、枝条、细根和粗根,测定15N的吸收速率和回收率,进一步探讨采集叶片是否可以反映整株树木的氮吸收状况,以优化采样器官;不同标记时间后所得到的氮吸收偏好是否不同,以优化采样时间。
研究发现,采用高丰度的15N标记物(丰度99%以上)对根际土壤进行标记,标记后其氮吸收偏好在30天内无显著差异(图2)。考虑氮吸收的时间和采样操作便利性,建议标记后4天采集乔木叶片即可判断成年大树氮吸收偏好。该方法通过对成年大树根际直接供给和追踪其对不同形态氮吸收和转运,充分考虑土壤氮竞争和固持、氮吸收后的转运,可真实反映成年大树原位氮利用特点。研究预测该方法具有广泛的应用性,可适用于不同类型森林树木,包括阔叶树种。此外,研究人员还系统梳理了以往氮偏好研究方法,发现以溶液作为吸收介质的研究往往得到偏好吸收铵的结果,而对土壤进行标记的研究往往发现更高硝氮吸收,这可能与溶液吸收法排除了土壤微生物和非生物过程对氮,尤其是对铵态氮的竞争和固持有关。
相关研究成果以Quantifying nitrogen uptake and translocation for mature trees: an in situ whole-tree paired 15N labeling method为题,发表在Tree Physiology上。研究工作得到国家重点研发计划项目、国家自然科学基金面上项目、辽宁省“兴辽英才计划”项目等的资助。
图1.成年大树原位15N成对标记法实验示意图
图2.15N标记后,落叶松不同器官对铵态氮和硝态氮吸收和转移比例的时间动态变化
打印
责任编辑:阎芳