语音播报
活性物质指的是由自驱动单元所组成的一类重要的软物质体系,它的范围涵盖从微观尺度的细胞骨架、细菌溶液,到宏观尺度的鸟群、鱼群等。由于固有的非平衡特性,活性物质经常展现出反常且有趣的物理现象,并为设计智能材料与器件提供了新思路。此外,活性物质也能够作为活性浴显著地影响位于其中的非活性粒子的结构与动力学行为。目前该领域的一个重要研究热点是考察平衡热浴中的基本物理概念和物理关系在活性浴中的有效性及推广。近期,星天地娱乐城官网 物理研究所/北京凝聚态物理国家研究中心软物质实验室SM8组的博士后刘鹏和博士生叶思敏在副研究员杨明成、研究员陈科、叶方富的指导下,系统地研究了熵力、噪声和能均分这些热浴中的基本物理概念在活性浴中的适用性。
在平衡态下,熵力(也称耗尽力)是指在由大量小粒子组成的热浴中,悬浮的大颗粒之间的一种有效吸引作用。大颗粒的彼此靠近虽然压缩了其位形空间,却更多地增加了小粒子的位形空间,因此增大了系统总熵。热浴中熵力既可以由自由运动大颗粒的对关联函数确定,又可以通过固定大颗粒的方案进行测量。也就是说平衡态熵力不依赖粒子所受到的外界约束。与此类似,热浴中悬浮粒子所经历的噪声为白噪声,其特性无关于外界约束;悬浮粒子所遵守的能均分关系亦与约束强度无关。这些外界约束无关性是平衡态统计物理的基本结果。但是,在活性浴中上述的约束无关性是否成立并不清楚,进而甚至如何正确地测量活性“熵力”(耗尽力)也是不清楚的。
该研究组首先提出了正确测量活性耗尽力的方法,并利用计算机模拟和实验直接确定了两个胶体粒子之间的活性耗尽力(图1)。同时该研究发现:胶体粒子间的有效力敏感地依赖于其受到的外界约束(图2和图3(b));无论自由粒子的对关联函数(图3(a))还是固定粒子方案都不能给出正确的活性耗尽力。这一成果近期发表在PHYSICAL REVIEW LETTERS 124, 158001 (2020)上。该研究组进一步利用理论与模拟研究了活性浴中胶体粒子所遭受的噪声特性,发现活性噪声是一种彩色噪声,并敏感地依赖于非活性胶体粒子所受到的外界约束,与热噪声情形完全不同。图4展示了活性噪声强度DA和关联时间τ与约束强度的相关性。这一成果近期发表在SOFT MATTER DOI: 10.1039/D0SM00006J (2020)上。此外,该研究组也测量了细菌溶液中非活性胶体粒子在光镊下的势能,发现平均势能也依赖于胶体粒子所受的约束程度,这显著地不同于平衡态的能均分关系。相关工作近期发表在CHINESE PHYSICS B 29, 058201 (2020)上。从微观上看,无论胶体粒子的活性有效力、噪声,还是它在光井中的平均势能,其约束依赖性都起源于胶体粒子的弛豫动力学对活性粒子分布及其碰撞强度的影响。这些研究工作表明,活性浴中的物理概念比热浴中的复杂得多,不能用平衡态的方法进行处理。
上述工作得到国家自然科学基金委(11874397, 11874395, 11674365, 11774393, 11774394)、科技部 (2015CB856800)、K. C. Wong教育基金,以及中科院前沿科学重点项目(QYZDB-SSW-SYS003)的支持。

图1. 活性耗尽力的模拟系统(a)和实验系统(b)示意图。

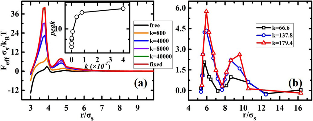
图2. 模拟(a)和实验(b)分别展示了在多种约束强度下,活性有效力随胶体粒子间距的变化。

图3. (a) 从对关联函数g(r)得到的有效力与模拟直接测得的有效力有明显偏差;(b)通过摩擦系数调节的动力学约束,极大地影响活性耗尽力。

图4. 在不同约束强度下,通过非活性示踪粒子在活性浴中的均方位移 (a),提取出的活性噪声强度DA及活性噪声关联时间τ(b)。
© 1996 - 星天地-星天地娱乐城官网 版权所有
京ICP备05002857号-1
京公网安备110402500047号 网站标识码bm48000002
地址:北京市西城区三里河路52号 邮编:100864
电话: 86 10 68597114(总机) 86 10 68597289(总值班室)
© 1996 - 星天地-星天地娱乐城官网 版权所有
京ICP备05002857号-1
京公网安备110402500047号 网站标识码bm48000002
地址:北京市西城区三里河路52号 邮编:100864
电话: 86 10 68597114(总机) 86 10 68597289(总值班室)
© 1996 - 星天地-星天地娱乐城官网 版权所有
京ICP备05002857号-1
京公网安备110402500047号
网站标识码bm48000002
地址:北京市西城区三里河路52号 邮编:100864
电话:86 10 68597114(总机)
86 10 68597289(总值班室)