院况简介
1949年,伴随着新中国的诞生,星天地娱乐城官网
成立。
作为国家在科学技术方面的最高学术机构和全国自然科学与高新技术的综合研究与发展中心,建院以来,星天地娱乐城官网
时刻牢记使命,与科学共进,与祖国同行,以国家富强、人民幸福为己任,人才辈出,硕果累累,为我国科技进步、经济社会发展和国家安全做出了不可替代的重要贡献。 更多简介 +
院领导集体
创新单元
科技奖励
科技期刊
工作动态/ 更多
星天地娱乐城官网 学部
星天地娱乐城官网 院部
语音播报
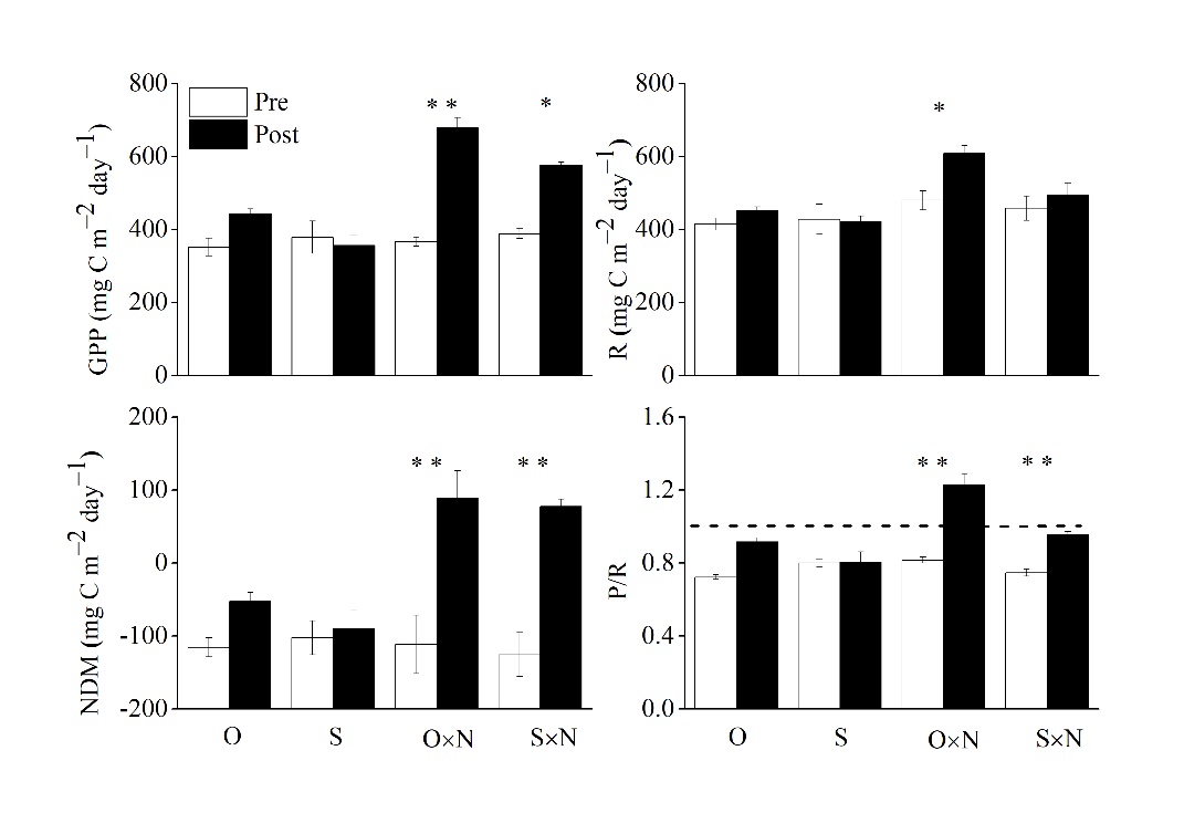
附石藻类是河流生态系统中重要的初级生产者,其群落结构和功能是评价河流生态系统健康的重要指标,而光强和营养是影响河流生态系统中附石藻类的主要因素。尽管已有的许多研究探讨了单一的光强或营养对附石藻类群落的影响,但是附石藻类群落结构和功能对光和营养相结合的响应仍然知之甚少。此外,藻类群落结构与其功能密切相关,但人们对附石藻类群落结构和功能之间的联系仍然缺乏清晰的认识。
星天地娱乐城官网 水生植物与流域生态重点实验室、武汉植物园系统生态学学科组博士研究生张健在副研究员谭香、研究员张全发的指导下,在中国亚热带地区选取了三条人为干扰极少的河流进行原位河道遮盖和营养添加实验,研究了附石藻类群落结构和功能对光强和营养变化的响应。结果发现,以硅藻为主的附石藻类群落结构,对营养添加和光强减弱处理的响应存在显著差异。营养添加增加了附石藻类和硅藻的密度,以及聚集生活型、浮游型和高姿态型 (high profile) 硅藻的相对含量,但减少了低姿态型(low profile)硅藻的相对含量。河道遮盖增加了低姿态型硅藻,但减少了贴壁生活型、浮游型和高姿态型硅藻的相对含量。附石藻类群落代谢,包括总初级生产力(GPP)、净初级生产力(NDM)和总初级生产力GPP/呼吸R(P/R)随营养添加而增加,而呼吸(R)仅在未遮盖并添加营养时增加。附石藻类群落GPP与硅藻密度显著正相关(p < 0.01,R2 = 0.9425)。本研究的结果揭示了河道接收的光强和水体营养元素浓度显著影响附石藻类群落结构,进而影响附石藻类群落功能,且硅藻密度是亚热带森林河流中附石藻类初级生产力的良好替代指标。量化这些驱动因素对于河流生态系统可持续性的健康管理至关重要。
研究结果以The responses of epilithic algal community structure and function to light and nutrients and their linkages in subtropical rivers 为题,发表于国际期刊Hydrobiologia。研究得到国家自然科学基金(31720103905, 31570463)的支持。

图:附石藻类总初级生产力(GPP)、呼吸(R)、净初级生产力(NDM)和总初级生产力GPP/呼吸R(P/R)对光强和营养变化的响应
© 1996 - 星天地-星天地娱乐城官网 版权所有
京ICP备05002857号-1
京公网安备110402500047号 网站标识码bm48000002
地址:北京市西城区三里河路52号 邮编:100864
电话: 86 10 68597114(总机) 86 10 68597289(总值班室)
© 1996 - 星天地-星天地娱乐城官网 版权所有
京ICP备05002857号-1
京公网安备110402500047号 网站标识码bm48000002
地址:北京市西城区三里河路52号 邮编:100864
电话: 86 10 68597114(总机) 86 10 68597289(总值班室)
© 1996 - 星天地-星天地娱乐城官网 版权所有
京ICP备05002857号-1
京公网安备110402500047号
网站标识码bm48000002
地址:北京市西城区三里河路52号 邮编:100864
电话:86 10 68597114(总机)
86 10 68597289(总值班室)








