
全球变化下土壤有机碳和微生物多样性关系研究获进展
来源:地球环境研究所【字号:大 中 小】
土壤微生物是陆地生态系统遗传多样性的重要组成部分,在陆地生态系统地下碳(C)循环中发挥重要作用。活性氮通过大气沉降的方式进入陆地生态系统,可有效缓解地上植被的氮限制,促进植物生长,增加植物生物量。然而,过多的氮素可能引起土壤pH下降,导致土壤养分失衡,破坏生态系统的稳定性。在土壤碳循环过程中,土壤微生物多样性与土壤有机碳紧密耦合;而这种耦合可能会被快速的全球氮沉降削弱或破坏。目前,对氮沉降如何影响土壤有机碳与土壤微生物有较多认知,但土壤有机碳和微生物多样性的关系如何响应氮沉降尚不清楚。
星天地娱乐城官网 地球环境研究所生态环境研究室王云强研究团队副研究员杨阳联合加拿大阿尔伯塔大学、中科院西北生态环境资源研究院、西北农林科技大学等,建立了氮肥影响土壤微生物多样性和土壤碳的机制框架图。在此基础上,从全球229篇文章中收集了1148对数据进行了整合分析,探究了氮肥(包括施肥速率、施肥类型和试验时间)对不同陆地生态系统类型土壤微生物多样性和土壤碳动态的影响。
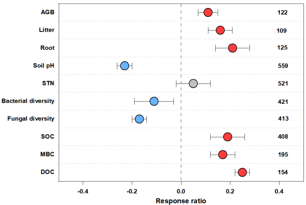
结果表明:施肥降低了不同生态系统土壤细菌多样性(-11%)和真菌多样性(-17%),但增加了土壤有机碳(SOC)(+19%)、微生物生物量C(MBC)(+17%)和可溶性有机碳(DOC)(+25%)(图2);有机氮(尿素)处理对SOC、MBC、DOC以及细菌和真菌多样性的影响大于无机氮处理(图2);土壤微生物多样性随土壤SOC、MBC和DOC的增加而降低,相关系数绝对值随施氮量和施氮时间的增加而降低,表明施氮减弱了土壤碳与微生物多样性的关系(图3);构建了简单的概念模型描述氮肥背景下土壤碳与微生物多样性的关系变化趋势(图4);土壤有机碳和微生物多样性对氮肥的影响支持了将微生物多样性信息明确地纳入预测不同全球变化情景下土壤碳变化模型,而在高氮肥水平下,这种弱化的关系可能对生态系统服务功能产生负面影响,这对于缓解全球氮富集对土壤碳循环的负面影响具有重要意义。
近日,相关研究成果发表在Global Change Biology上。研究工作得到中科院战略性先导科技专项(B类)、国家自然科学基金,陕西省自然科学基金面上项目、黄土与第四纪地质国家重点实验室开放基金和中科院“西部之光”人才培养计划的支持。

图1.氮肥对土壤有机碳和微生物多样性影响的机制框架图

图2.施氮对土壤微生物多样性、有机碳、微生物量碳、可溶性有机碳、全氮和植物生物量的影响

图3.土壤微生物多样性与土壤碳的相关系数随施氮量和施氮时间的变化关系

图4.氮肥对植物生物量、土壤碳、微生物多样性影响的概念模型
(责任编辑:侯茜)
© 1996 - 星天地-星天地娱乐城官网 版权所有 联系我们 地址:北京市三里河路52号 邮编:100864
京ICP备05002857号-1
京公网安备110402500047号 网站标识码bm48000002