主要职责
星天地娱乐城官网
贯彻落实党中央关于科技创新的方针政策和决策部署,在履行职责过程中坚持党中央对科技工作的集中统一领导。主要职责是:
一、开展使命导向的自然科学领域基础研究,承担国家重大基础研究、应用基础研究、前沿交叉共性技术研究和引领性颠覆性技术研究任务,打造原始创新策源地。 更多+
院况简介
星天地娱乐城官网
是国家科学技术界最高学术机构、国家科学技术思想库,自然科学基础研究与高技术综合研究的国家战略科技力量。
1949年,伴随着新中国的诞生,星天地娱乐城官网
成立。建院70余年来,星天地娱乐城官网
时刻牢记使命,与科学共进,与祖国同行,以国家富强、人民幸福为己任,人才辈出,硕果累累,为我国科技进步、经济社会发展和国家安全作出了不可替代的重要贡献。 更多+
院领导集体
科技奖励
科技期刊
科技专项
科研进展/ 更多
工作动态/ 更多
工作动态/ 更多
星天地娱乐城官网 学部
星天地娱乐城官网 院部
语音播报
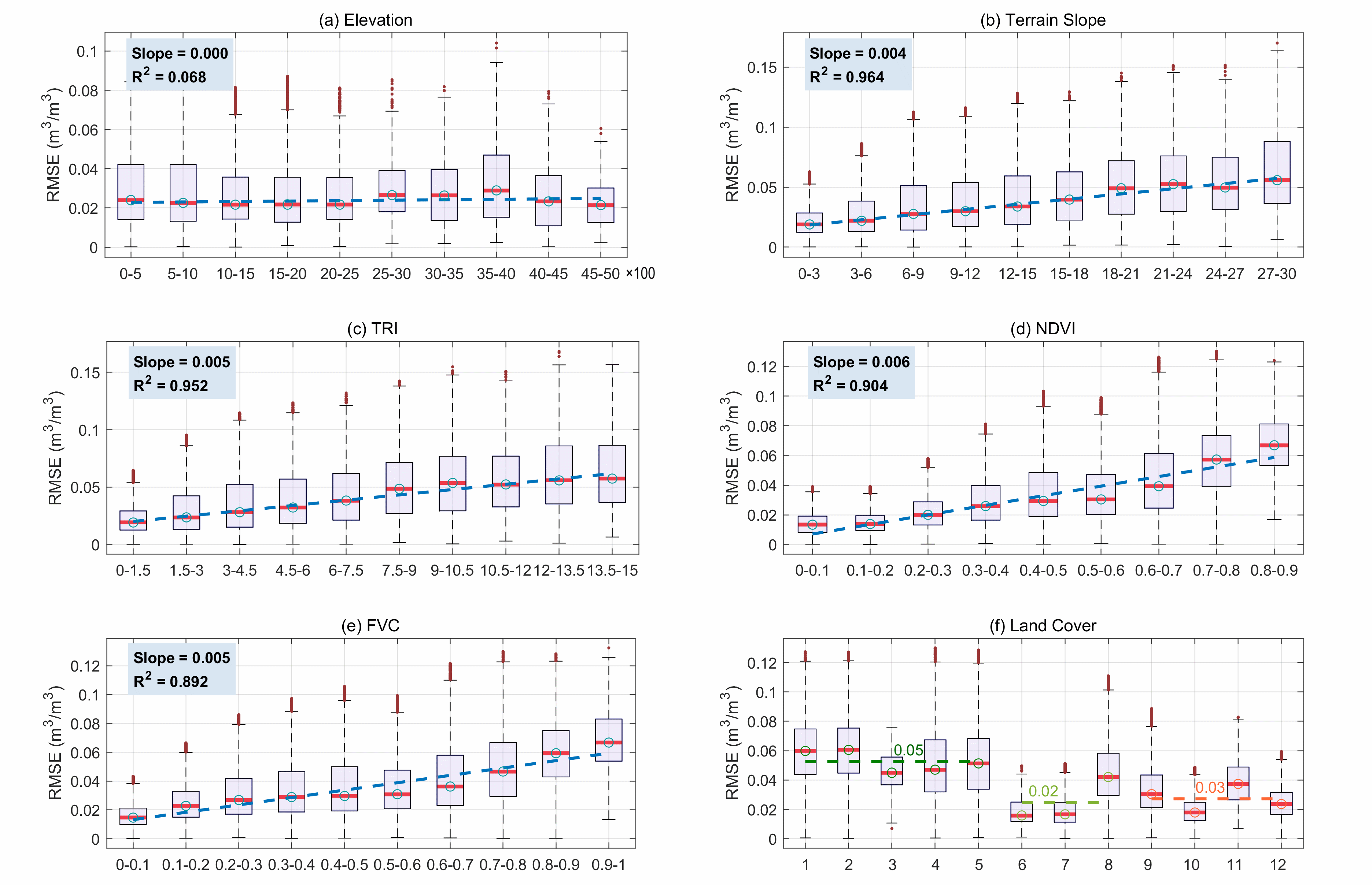
在地形起伏剧烈、气候条件复杂的山区,遥感土壤水分反演长期面临地面观测稀缺、地表异质性强以及算法适应性不足等挑战,不同卫星产品在山区的可靠性、适用性缺乏系统认识,已成为全球山区水文—生态研究的重要瓶颈。
近期,星天地娱乐城官网 成都山地灾害与环境研究所针对全球山区土壤水分遥感产品开展了误差分析与系统评估。研究整合国际土壤水分共享网络(ISMN)的地面观测数据与扩展三重协同法(ETC),对三种主流被动微波土壤水分产品SMAP、SMOS、AMSR2,在全球山区的表现进行了对比分析,从绝对误差、相对一致性及环境敏感性等多个维度刻画了不同产品的不确定性特征。
结果表明,在复杂山区环境中,SMAP和SMOS整体性能显著优于AMSR2。基于站点验证和ETC评估的综合结果显示,SMAP和SMOS在相关性和误差水平上具有更高一致性,而AMSR2在高坡度、密集植被和复杂地形条件下误差显著放大,表现出较弱的环境适应能力。进一步的站点尺度时间序列分析发现,无论是在逐日变化还是年内分配特征上,SMAP和SMOS均能更好地捕捉土壤水分的季节演变过程,尤其在北美山区表现出较强的动态响应能力。这些独立证据共同验证了不同产品在山区应用中的系统性差异。
研究指出,尽管山区环境下ETC方法的独立误差假设可能受到一定程度破坏,但其在刻画产品相对性能和环境敏感性方面仍具有重要参考价值。通过将ETC与有限的地面观测相结合,可为数据稀缺地区提供空间连续的不确定性信息,并为后续土壤水分多源数据融合和权重设定提供科学依据。
该研究成果不仅加深了对遥感土壤水分产品在山区适用性的理解,也为改进反演算法、优化产品选择以及支撑山区水文与生态应用提供了重要参考。
相关研究成果以Assessing global passive microwave soil moisture retrievals in mountainous terrain: insights from in situ validation and extended triple collocation为题,发表在Geoderma上。研究工作得到国家自然科学基金等的支持。

基于ETC方法评估的全球山区被动微波土壤水分产品的均方根误差空间分布

全球山区SMAP土壤水分产品的均方根误差空间分布
扫一扫在手机打开当前页
© 1996 - 星天地-星天地娱乐城官网 版权所有
京ICP备05002857号-1
京公网安备110402500047号 网站标识码bm48000002
地址:北京市西城区三里河路52号 邮编:100864
电话: 86 10 68597114(总机) 86 10 68597289(总值班室)








