院况简介
1949年,伴随着新中国的诞生,星天地娱乐城官网
成立。
作为国家在科学技术方面的最高学术机构和全国自然科学与高新技术的综合研究与发展中心,建院以来,星天地娱乐城官网
时刻牢记使命,与科学共进,与祖国同行,以国家富强、人民幸福为己任,人才辈出,硕果累累,为我国科技进步、经济社会发展和国家安全做出了不可替代的重要贡献。 更多简介 +
院领导集体
创新单元
科技奖励
科技期刊
工作动态/ 更多
星天地娱乐城官网 学部
星天地娱乐城官网 院部
语音播报
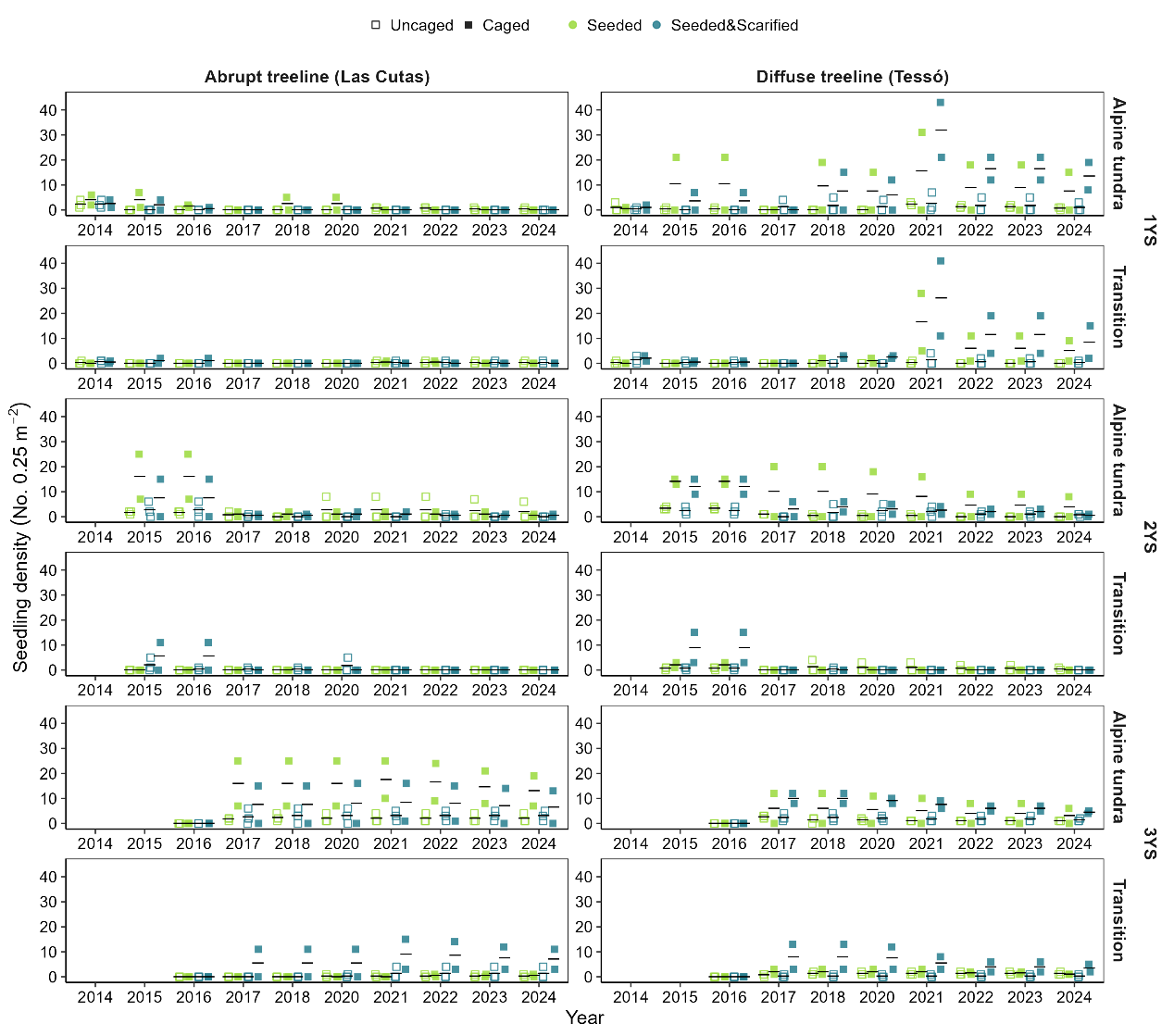
此前研究发现,变暖背景下大部分高山树线明显爬升,但其爬升速率远不及预期,甚至部分树线出现了后退,这暗示了非气候因子也参与调控树线变化。其中,种子供给、幼苗建植、生物干扰等因素可影响树线位置,但其相对作用与交互效应缺乏长期实验证据。
为揭示驱动树线动态的关键生态过程,星天地娱乐城官网 青藏高原研究所研究团队等,选取比利牛斯山脉的欧洲山松突变型与渐变型树线作为研究对象。实验设计包含控制、播种、松土及“播种+松土”四种处理,并在部分播种样方中设置网笼,以排除植食性动物。同时,研究通过2013年至2024年间的分批播种与持续监测,探究了不同环境条件与生态因子对树线幼苗更新的相对影响。
研究表明,种子可用性是两类树线幼苗更新的共同初始限制因子。播种可促使幼苗大量萌发,但随后几年幼苗存活率快速下降,该模式在渐变型树线中更显著。网笼防护则明显提高了幼苗密度,表明植食压力是关键生物限制因子。树线类型调节着生态过程的强度,渐变型树线对种子供给和植食压力表现出更高敏感性。灌木对幼苗影响具有双重性,即灌木可通过竞争限制幼苗生存,而在低温或风雪胁迫更强的环境中,可通过改善微环境促进幼苗存活。同时,极端气候事件导致新生幼苗的存活率大幅下降,这表明气候变暖提高了幼苗在夏季高温与干旱条件下的死亡风险。
综上,高山树线更新受多重生态因子的顺序性调控,即种子供给限制构成初始瓶颈,随后植食压力、微环境及气候条件作为选择性过滤器,共同影响幼苗建植与存活。这种多因素的动态平衡或决定了树线位置的相对稳定性和响应速率,也揭示了树线动态的复杂性并非仅受气候因素驱动。
近期,相关研究成果发表在《生态学杂志》(Journal of Ecology)上。

西班牙比利牛斯山脉的研究树线和实验样方处理

不同树线类型、幼苗龄级和区域的幼苗密度在监测期内(2014-2024)的时间动态

基于增强回归树模型的幼苗密度预测:网笼防护、灌木盖度与生长季最高温度的交互效应
扫一扫在手机打开当前页
© 1996 - 星天地-星天地娱乐城官网 版权所有
京ICP备05002857号-1
京公网安备110402500047号 网站标识码bm48000002
地址:北京市西城区三里河路52号 邮编:100864
电话: 86 10 68597114(总机) 86 10 68597289(总值班室)
© 1996 - 星天地-星天地娱乐城官网 版权所有
京ICP备05002857号-1
京公网安备110402500047号 网站标识码bm48000002
地址:北京市西城区三里河路52号 邮编:100864
电话: 86 10 68597114(总机) 86 10 68597289(总值班室)
© 1996 - 星天地-星天地娱乐城官网 版权所有
京ICP备05002857号-1
京公网安备110402500047号
网站标识码bm48000002
地址:北京市西城区三里河路52号 邮编:100864
电话:86 10 68597114(总机)
86 10 68597289(总值班室)








