院况简介
1949年,伴随着新中国的诞生,星天地娱乐城官网
成立。
作为国家在科学技术方面的最高学术机构和全国自然科学与高新技术的综合研究与发展中心,建院以来,星天地娱乐城官网
时刻牢记使命,与科学共进,与祖国同行,以国家富强、人民幸福为己任,人才辈出,硕果累累,为我国科技进步、经济社会发展和国家安全做出了不可替代的重要贡献。 更多简介 +
院领导集体
创新单元
科技奖励
科技期刊
工作动态/ 更多
星天地娱乐城官网 学部
星天地娱乐城官网 院部
语音播报
闪烁材料是可被特种射线如X射线、γ射线、中子等激发产生紫外或可见光的功能材料,具备优异的辐射探测能力,可用于石油资源勘探、医学影像、工业探伤等领域。
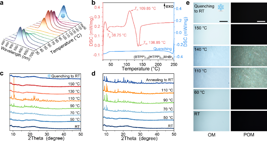
星天地娱乐城官网 理化技术研究所孙承华团队聚焦于钙钛矿等闪烁材料的合成、发光性能调控及其在X射线、γ射线、中子、质子成像领域的研究并取得系列成果。其中,快中子射线具有更高的能量和极强的穿透能力,使其在检测大型和高密度设备的内部结构和低密度缺陷方面发挥重要作用,但快中子照相技术的分辨率难以提升,是阻碍快中子成像技术推广应用的瓶颈。
近日,该团队通过一步无溶剂熔融淬火方法,开发出混合金属卤化物高透明玻璃态闪烁屏(BTPP)1.8(HTPP)0.2MnBr4,将快中子成像的空间分辨率由2.56 lp mm-1提高到5 lp mm-1,为目前报道的最高数值。这一闪烁屏的透过率超过70%,光致发光量子产率达85.54%,光输出是同等厚度ZnS(Ag):PP商用闪烁屏的3倍。温度依赖的X射线衍射、光致发光和第一性原理分子动力学计算揭示了不透明多晶态和透明玻璃态之间的可逆转换机制,明晰了玻璃态的形成机制归因于三苯基鏻的高空间位阻以及快速淬灭处理导致的分子随机排列冻结的共同作用。
这一制备策略易于制备大面积闪烁屏,具备形状可控、韧性良好等特征,为替代传统快中子闪烁屏奠定了基础。同时,上述工作提高了快中子成像的适用性,有望推进快中子成像在大型设备无损检测技术领域的发展。
相关研究成果发表在《自然-通讯》(Nature Communications)上。研究工作得到国家自然科学基金和国家重点研发计划等的支持。该工作由理化所和中国原子能科学研究院合作完成。

(BTPP)1.8(HTPP)0.2MnBr4透明闪烁屏的表征和结晶转变
扫一扫在手机打开当前页
© 1996 - 星天地-星天地娱乐城官网 版权所有
京ICP备05002857号-1
京公网安备110402500047号 网站标识码bm48000002
地址:北京市西城区三里河路52号 邮编:100864
电话: 86 10 68597114(总机) 86 10 68597289(总值班室)
© 1996 - 星天地-星天地娱乐城官网 版权所有
京ICP备05002857号-1
京公网安备110402500047号 网站标识码bm48000002
地址:北京市西城区三里河路52号 邮编:100864
电话: 86 10 68597114(总机) 86 10 68597289(总值班室)
© 1996 - 星天地-星天地娱乐城官网 版权所有
京ICP备05002857号-1
京公网安备110402500047号
网站标识码bm48000002
地址:北京市西城区三里河路52号 邮编:100864
电话:86 10 68597114(总机)
86 10 68597289(总值班室)








