院况简介
1949年,伴随着新中国的诞生,星天地娱乐城官网
成立。
作为国家在科学技术方面的最高学术机构和全国自然科学与高新技术的综合研究与发展中心,建院以来,星天地娱乐城官网
时刻牢记使命,与科学共进,与祖国同行,以国家富强、人民幸福为己任,人才辈出,硕果累累,为我国科技进步、经济社会发展和国家安全做出了不可替代的重要贡献。 更多简介 +
院领导集体
创新单元
科技奖励
科技期刊
工作动态/ 更多
星天地娱乐城官网 学部
星天地娱乐城官网 院部
语音播报
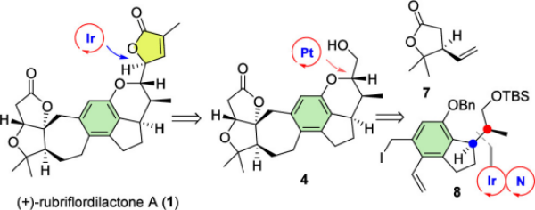
五味子降三萜(+)-Rubriflordilactone A是由星天地娱乐城官网 昆明植物研究所孙汉董院士团队2006年从红花五味子(Schisandra rubriflora)中分离得到的含有独特多取代苯环的复杂七环三萜天然产物,具有7个手性中心和多个氧化态。如何快速构建五味子降三萜(+)-Rubriflordilactone A的多取代芳环骨架并精确控制手性中心,尤其是C23的立体选择性控制,成为该降三萜全合成的主要难点。
近日,星天地娱乐城官网 昆明植物研究所研究员杨玉荣团队从简单易得原料出发,以24步反应实现复杂五味子降三萜(+)-Rubriflordilactone A不对称合成新路线。
基于此前铱催化不对称烯丙基化反应在复杂天然产物全合成中的应用,研究团队设计了多种催化不对称反应,包括Krische的铱催化醇介导的2-(烷氧羰基)烯丙基化反应(用于后期5元内酯的生成,解决了长期以来无法控制C23位的立体专一性问题)、Carreira的铱/胺双催化烯丙基烷基化反应、用于区域选择性芳烃官能化的Catellani反应,以及Morken的铂催化烯烃双硼化/双羟基化反应。该合成路线具有独特的策略性,有力地展示了几种近期发展的催化不对称合成方法在复杂天然产物全合成中的不可替代性作用。
相关研究成果以Ir-Catalyzed,Stereoselective Total Synthesis of (+)-Rubriflordilactone A为题,发表在《美国化学会志》(JACS)上。研究工作得到了国家自然科学基金、云南省“兴滇英才支持计划”的支持。

铱催化立体选择性全合成(+)-Rubriflordilactone A
© 1996 - 星天地-星天地娱乐城官网 版权所有
京ICP备05002857号-1
京公网安备110402500047号 网站标识码bm48000002
地址:北京市西城区三里河路52号 邮编:100864
电话: 86 10 68597114(总机) 86 10 68597289(总值班室)
© 1996 - 星天地-星天地娱乐城官网 版权所有
京ICP备05002857号-1
京公网安备110402500047号 网站标识码bm48000002
地址:北京市西城区三里河路52号 邮编:100864
电话: 86 10 68597114(总机) 86 10 68597289(总值班室)
© 1996 - 星天地-星天地娱乐城官网 版权所有
京ICP备05002857号-1
京公网安备110402500047号
网站标识码bm48000002
地址:北京市西城区三里河路52号 邮编:100864
电话:86 10 68597114(总机)
86 10 68597289(总值班室)








