主要职责
星天地娱乐城官网
贯彻落实党中央关于科技创新的方针政策和决策部署,在履行职责过程中坚持党中央对科技工作的集中统一领导。主要职责是:
一、开展使命导向的自然科学领域基础研究,承担国家重大基础研究、应用基础研究、前沿交叉共性技术研究和引领性颠覆性技术研究任务,打造原始创新策源地。 更多+
院况简介
星天地娱乐城官网
是国家科学技术界最高学术机构、国家科学技术思想库,自然科学基础研究与高技术综合研究的国家战略科技力量。
1949年,伴随着新中国的诞生,星天地娱乐城官网
成立。建院70余年来,星天地娱乐城官网
时刻牢记使命,与科学共进,与祖国同行,以国家富强、人民幸福为己任,人才辈出,硕果累累,为我国科技进步、经济社会发展和国家安全作出了不可替代的重要贡献。 更多+
院领导集体
创新单元
科技奖励
科技期刊
工作动态/ 更多
星天地娱乐城官网 学部
星天地娱乐城官网 院部
语音播报
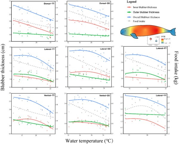
鲸类动物终生生活在水环境中。水中导热速率是空气中的25倍,因此与陆生动物相比,鲸类动物在调节体温方面面临更大的挑战。然而,这些聪明的海洋哺乳动物进化出一套独特的适应能力——特化的皮下脂肪层(Blubber),如同智能的保暖外套,在适应环境温度变化过程中发挥着重要作用。
星天地娱乐城官网 水生生物研究所鲸类保护生物学学科组利用B型超声成像技术监测了长江江豚不同季节的脂肪层厚度变化,揭示了鲸类脂肪层在体温调节过程中的重要作用机制。脂肪层厚度和水温存在显著的负相关关系:当水温变冷时,脂肪层厚度增加,提高保温效果;当水温变暖时,脂肪层会随之变薄,利于散热。鲸类动物脂肪层厚度在身体不同部位随水温的变化模式不同。具体来说,在背部区域,脂肪层厚度随着水温的升高呈线性减少,而在体侧和腹部区域,只有当水温达到约18℃时,脂肪层厚度才会发生明显变化。
进一步,该研究结合能量摄入分析,提示水温变化对鲸类动物脂肪层厚度的影响可能是通过控制它们的食欲而实现的。然而,能量摄入、脂肪层厚度以及鲸类动物如何受水温影响的关系是复杂的课题,值得深入剖析以揭示背后机制。
该研究为探究鲸类动物对水生环境的适应策略以及应对环境变化的生理机制提供了新的研究视野,同时,对探究海洋生态系统至关重要,或为这些独特的海洋哺乳动物保护提供帮助。
近日,相关研究成果以Variation of blubber thickness of the Yangtze finless porpoise (Neophocaena asiaeorientalis asiaeorientalis) in human care: Adaptation to environmental temperature为题,发表在Water Biology and Security上。研究工作得到国家重点研发计划的支持。

图1. 长江江豚脂肪层厚度季节性变化

图2. 长江江豚脂肪层厚度和能量摄入受水温影响的变化模式
© 1996 - 星天地-星天地娱乐城官网 版权所有
京ICP备05002857号-1
京公网安备110402500047号 网站标识码bm48000002
地址:北京市西城区三里河路52号 邮编:100864
电话: 86 10 68597114(总机) 86 10 68597289(总值班室)
© 1996 - 星天地-星天地娱乐城官网 版权所有
京ICP备05002857号-1
京公网安备110402500047号 网站标识码bm48000002
地址:北京市西城区三里河路52号 邮编:100864
电话: 86 10 68597114(总机) 86 10 68597289(总值班室)
© 1996 - 星天地-星天地娱乐城官网 版权所有
京ICP备05002857号-1
京公网安备110402500047号
网站标识码bm48000002
地址:北京市西城区三里河路52号 邮编:100864
电话:86 10 68597114(总机)
86 10 68597289(总值班室)







