语音播报
随着川藏铁路等国家重大工程建设的开展,高地应力、活动断层及挤压大变形等动力问题对隧道安全建设带来挑战。作为地下工程普遍采用的支护形式,传统锚杆在动力荷载下不具备抵抗大变形的能力。2009年和2014年,星天地娱乐城官网 院士何满潮研发了宏观负泊松比(NPR,Negative Poisson’s effect)结构锚杆和微观NPR锚杆钢,并在甘肃木寨岭隧道、云南昌宁隧道等进行现场工程应用。目前,动力拉伸实验等表明,NPR锚杆钢克服了受拉径缩效应,有效平衡了钢材高强度和高延性的矛盾,从材料本质上实现了锚杆的大变形超强吸能特性。现场工程经验表明,锚杆沿节理、断层等岩体结构面发生剪切破坏。因此,开展锚杆锚固结构面剪切试验是揭示锚杆支护性能的重要手段,将为NPR锚杆的实际工程应用提供理论支撑。然而,当前鲜有关于锚杆动力剪切支护性能的实验研究。
基于自主研发的大型岩体动态性能测试系统,星天地娱乐城官网 地质与地球物理研究所页岩气与地质工程重点实验室研究员祁生文团队与中国矿业大学(北京)深部岩土力学与地下工程国家重点实验室合作,开展了一系列锚杆锚固结构面室内动力剪切实验(图1)。科研团队实验设置了不同的剪切速率(0.1 mm/s和1 mm/s,高于已有实验的常见速率),对比分析了NPR锚杆钢和普通锚杆钢(以HRB400E钢为例)的抗剪强度以及锚杆贡献值、作用长度、锚杆和锚固结构面剪切破坏特征。同时,该团队利用数字图像相关方法(DIC)获得剪切过程的应变场和位移场,提出了利用位移云图统计分析以定量刻画锚杆的作用范围。
结果表明,剪切速率对锚固结构面的剪切特性具有显著作用。研究发现,提高剪切速率将显著降低普通锚杆抗剪强度和锚杆贡献值,NPR锚杆锚固结构面的抗剪强度随剪切速率不发生明显改变(图2)。高剪切速率降低了锚杆的变形能力及荷载传递效果(图3、4)。NPR锚杆的动力支护性能如锚杆贡献值、变形能力及荷载传递效果在各剪切速率条件下均显著优于普通锚杆。在高剪切速率(1 mm/s)条件下,NPR锚杆的优势更为明显,即作用长度是普通锚杆的3.90倍,均一化的锚杆贡献值是普通锚杆的2.43倍。
该团队结合受力计算分析发现,在锚固结构面剪切变形过程中,NPR锚杆相对于普通锚杆更大地发挥了抗拉强度。NPR锚杆的负泊松比变形效应使其在抗剪过程保持了与岩体的紧密接触,从而有效传递了荷载。这保证了NPR锚杆在动力条件下具有良好的抗剪强度和抗剪切变形能力,在深部岩体工程支护中具有广阔的应用前景,为解决川藏铁路复杂地质条件下的隧道大变形及活动断层错动等灾害发挥了重要作用。
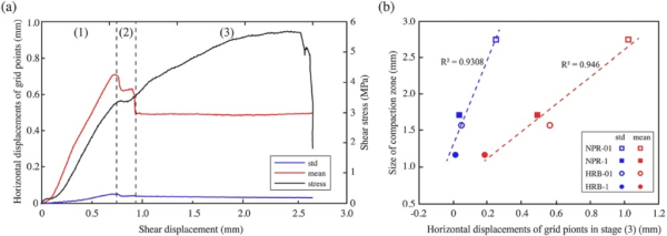
此外,研究发现,试样表面位移场的变化与结构面变形破坏过程的各个阶段具有较好的对应性(图5)。锚固加强阶段的表面位移均值及标准差与锚杆作用范围大小具有显著相关性,为验证NPR锚杆具有较好的荷载传递效果提供了证据。实验结果表明,利用数字图像相关方法对地下岩体工程中不可直接探测的岩体变形破坏渐进过程进行探测和识别具有重要应用潜力。
相关研究成果发表在《国际岩石力学与采矿科学杂志》(International Journal of Rock Mechanics and Mining Sciences)上。研究工作得到国家自然科学基金和第二次青藏高原综合科学考察研究等的支持。

图1. 实验设置:(a)锚固结构面试样示意图;(b)大型岩体动态性能测试系统;(c)数字图像相关技术(DIC)设备

图2. 锚固结构面剪切应力-位移曲线

图3. 锚杆变形破坏特征。(a)为实物照片;(b、c)为变形示意图

图4. 结构面破坏特征及挤压区范围指示NPR锚杆具有较好的荷载传递效果

图5. (a)实验表面位移场及应力-应变曲线(以HRB-01试样为例);(b)锚杆作用范围与锚固加强阶段的表面位移均值及标准差的关系
© 1996 - 星天地-星天地娱乐城官网 版权所有
京ICP备05002857号-1
京公网安备110402500047号 网站标识码bm48000002
地址:北京市西城区三里河路52号 邮编:100864
电话: 86 10 68597114(总机) 86 10 68597289(总值班室)
© 1996 - 星天地-星天地娱乐城官网 版权所有
京ICP备05002857号-1
京公网安备110402500047号 网站标识码bm48000002
地址:北京市西城区三里河路52号 邮编:100864
电话: 86 10 68597114(总机) 86 10 68597289(总值班室)
© 1996 - 星天地-星天地娱乐城官网 版权所有
京ICP备05002857号-1
京公网安备110402500047号
网站标识码bm48000002
地址:北京市西城区三里河路52号 邮编:100864
电话:86 10 68597114(总机)
86 10 68597289(总值班室)