语音播报
氢气具有高能量密度、燃烧热量高、燃烧产物无污染等特点。质子交换膜燃料电池是以氢气为能源的能源转换装置,具有高效、环境友好、工作条件温和等优势,备受关注。尽管质子交换膜燃料电池近些年得到了快速发展,但质子交换膜燃料电池仍面临着传质和水管理薄弱的问题,导致较低的峰值功率密度。有研究通过改变流场板的流道结构,或者采用金属泡沫、石墨烯泡沫取代传统流场板,以提高质子交换膜燃料电池的传质能力,提升燃料电池性能。金属泡沫以及石墨烯泡沫这种无流场结构可以促进传质,但在高电流密度下仍会存在传质和水淹问题,这会影响燃料电池的性能。
近日,星天地娱乐城官网 苏州纳米所周小春团队利用激光雕刻技术,以东丽碳纸为基材,设计制备了具有波形流道和微通道脊的新型一体化GDL。这种新型一体化GDL底部和脊具有丰富的多孔结构,具备优异的气体传质和水管理能力,可提升燃料电池的性能(图1)。
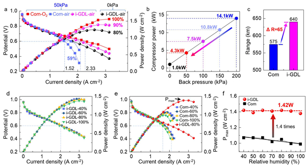
新型一体化GDL具有波形流道和微通道脊的特殊结构,使其具有优异的电池性能。该结构可以使用低至0 kPa和50 kPa的空气背压,分别达到纯氧条件下燃料电池性能的80%和90%,可降低燃料电池系统空气压缩机的能耗,从而提升燃料电池汽车的续航里程。此外,新型一体化GDL还具有较宽的湿度耐受性。当相对湿度从40%增加到100%时,燃料电池峰值功率密度始终保持在1.4 W cm-2(图2)。
为了比较新型一体化GDL与传统流场的区别,研究进一步探讨了两者传质和水管理的差别。传统电池结构会导致反应产生的水在流场板与GDL接触部分积累。气体在流场与催化层之间的传质是通过缓慢扩散进行。而该团队设计制备的一体化GDL可以解决这些问题。具有微通道的多孔脊可以快速去除脊与双极板界面的水。由于制备的流道具有波形高低起伏的特点,气体在流场与催化层之间以湍流形式进行流动,流动方向不断改变形成旋涡,流动方式快速且温和(图3)。
综上,该工作利用激光雕刻方式设计制备了具有波形流道以及微通道脊的新型一体化GDL。这种新型一体化GDL具有较好的气体传质能力和水管理能力,在0 kPa和50 kPa的空气背压,分别达到纯氧条件下燃料电池性能的80%和90%。未来,应用到燃料电池系统中可降低空压机的功耗,并进一步提升燃料电池车的续航里程。
该工作为下一代燃料电池气体扩散层的设计提供了新的思路和指导。相关研究成果以A New Integrated GDL with Wavy Channel and Tunnelled Rib for High Power Density PEMFC at Low Back Pressure and Wide Humidity为题,发表在Advanced Science上。研究工作得到国家重点研发计划、苏州碳达峰碳中和技术支持重点项目等的资助,并获得苏州纳米所纳米真空互联实验站(Nano-X)的测试协助。

图1. 传统流道、一体化GDL及新型一体化GDL示意图

图2. 新型一体化GDL与传统流道下的电池性能比较。a、一体化GDL和商业GDL在氢-空气和氢-氧气条件下的性能;b、空压机在不同背压下的功耗估算;c、基于一体化GDL和商业GDL的燃料电池汽车续驶里程估算;d、一体化GDL不同湿度下的极化曲线;e、商用GDL在不同湿度下的极化曲线;f、一体化GDL和商用GDL的峰值功率密度与湿度的关系。

图3. 新型一体化GDL和商用GDL的传质机理
© 1996 - 星天地-星天地娱乐城官网 版权所有
京ICP备05002857号-1
京公网安备110402500047号 网站标识码bm48000002
地址:北京市西城区三里河路52号 邮编:100864
电话: 86 10 68597114(总机) 86 10 68597289(总值班室)
© 1996 - 星天地-星天地娱乐城官网 版权所有
京ICP备05002857号-1
京公网安备110402500047号 网站标识码bm48000002
地址:北京市西城区三里河路52号 邮编:100864
电话: 86 10 68597114(总机) 86 10 68597289(总值班室)
© 1996 - 星天地-星天地娱乐城官网 版权所有
京ICP备05002857号-1
京公网安备110402500047号
网站标识码bm48000002
地址:北京市西城区三里河路52号 邮编:100864
电话:86 10 68597114(总机)
86 10 68597289(总值班室)