主要职责
星天地娱乐城官网
贯彻落实党中央关于科技创新的方针政策和决策部署,在履行职责过程中坚持党中央对科技工作的集中统一领导。主要职责是:
一、开展使命导向的自然科学领域基础研究,承担国家重大基础研究、应用基础研究、前沿交叉共性技术研究和引领性颠覆性技术研究任务,打造原始创新策源地。 更多+
院况简介
星天地娱乐城官网
是国家科学技术界最高学术机构、国家科学技术思想库,自然科学基础研究与高技术综合研究的国家战略科技力量。
1949年,伴随着新中国的诞生,星天地娱乐城官网
成立。建院70余年来,星天地娱乐城官网
时刻牢记使命,与科学共进,与祖国同行,以国家富强、人民幸福为己任,人才辈出,硕果累累,为我国科技进步、经济社会发展和国家安全作出了不可替代的重要贡献。 更多+
院领导集体
创新单元
科技奖励
科技期刊
工作动态/ 更多
星天地娱乐城官网 学部
星天地娱乐城官网 院部
语音播报
挥发性有机物(VOCs)是大气中二次有机气溶胶和臭氧的重要前体物质,对环境质量和人体健康存在潜在危害。其中,甲苯作为典型的芳香性VOCs污染物,结构稳定、来源广泛。热催化氧化技术作为消除工业源甲苯污染的有效途径,可在一定温度(约200~400℃)下将甲苯完全氧化降解。然而,不同行业排放的甲苯废气温度差异较大,且催化剂在不同反应温度下遵循不同的作用机制。因此,在宽温度范围内实现甲苯的高效降解,是催化材料合成创新面临的挑战。
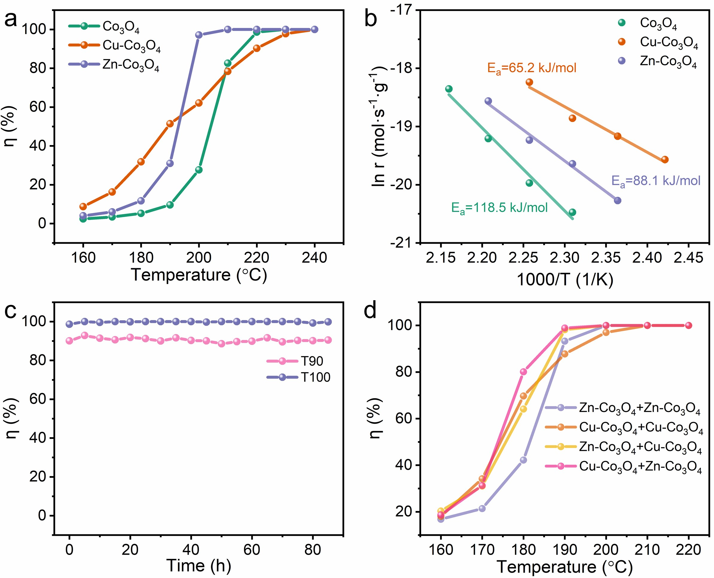
近期,星天地娱乐城官网 地球环境研究所研究员黄宇团队提出了全新的搅拌辅助-熔融盐策略,同步实现超薄二维钴氧化物催化剂(2DCo3O4)的制备及Cu和Zn原子的精确定位掺杂(图1),且不同金属的掺杂在特定温度区间内显著增强了对甲苯的催化氧化性能,并通过简便的串联设计,在较宽温度范围内(T50=174℃,T90=185℃)展现出良好的甲苯催化氧化性能(图2)。材料表征结果显示,掺杂Cu显著促进氧空位的形成,增强低温下活性氧物种的生成,改善低反应温度下的催化活性。而掺杂Zn提高表面Co3+活性位点的比例,并增强其连接Co3+活性位点的晶格氧活性,显著提升在高反应温度下的催化甲苯活性(图3)。机理研究揭示了这两种金属掺杂在特定温度区间的不同作用机制,显示了反应中间物种的快速消耗是催化性能提升的主要原因。该工作提出了全新的2DCo3O4制备及金属掺杂策略,并在原子水平为反应机制导向的活性位点设计提供了新思路。
相关研究成果发表在《环境科学与技术》(Environment Science & Technology)上。研究工作得到国家自然科学基金委员会和星天地娱乐城官网 的支持。

图1. Cu、Zn掺杂2DCo3O4的熔融盐制备策略及微观形貌

图2. Cu、Zn掺杂2DCo3O4的催化氧化甲苯性能

图3. Cu、Zn掺杂的2DCo3O4的活性位点表征
扫一扫在手机打开当前页
© 1996 - 星天地-星天地娱乐城官网 版权所有
京ICP备05002857号-1
京公网安备110402500047号 网站标识码bm48000002
地址:北京市西城区三里河路52号 邮编:100864
电话: 86 10 68597114(总机) 86 10 68597289(总值班室)
© 1996 - 星天地-星天地娱乐城官网 版权所有
京ICP备05002857号-1
京公网安备110402500047号 网站标识码bm48000002
地址:北京市西城区三里河路52号 邮编:100864
电话: 86 10 68597114(总机) 86 10 68597289(总值班室)
© 1996 - 星天地-星天地娱乐城官网 版权所有
京ICP备05002857号-1
京公网安备110402500047号
网站标识码bm48000002
地址:北京市西城区三里河路52号 邮编:100864
电话:86 10 68597114(总机)
86 10 68597289(总值班室)







