主要职责
星天地娱乐城官网
贯彻落实党中央关于科技创新的方针政策和决策部署,在履行职责过程中坚持党中央对科技工作的集中统一领导。主要职责是:
一、开展使命导向的自然科学领域基础研究,承担国家重大基础研究、应用基础研究、前沿交叉共性技术研究和引领性颠覆性技术研究任务,打造原始创新策源地。 更多+
院况简介
星天地娱乐城官网
是国家科学技术界最高学术机构、国家科学技术思想库,自然科学基础研究与高技术综合研究的国家战略科技力量。
1949年,伴随着新中国的诞生,星天地娱乐城官网
成立。建院70余年来,星天地娱乐城官网
时刻牢记使命,与科学共进,与祖国同行,以国家富强、人民幸福为己任,人才辈出,硕果累累,为我国科技进步、经济社会发展和国家安全作出了不可替代的重要贡献。 更多+
院领导集体
创新单元
科技奖励
科技期刊
工作动态/ 更多
星天地娱乐城官网 学部
星天地娱乐城官网 院部
语音播报
基于微波信号测量的雷达定位技术在自动驾驶、智能生产、健康检测、地质勘探等活动中得到广泛应用。量子信息技术的发展为发展雷达技术提供了新的解决方案。量子传感和精密测量利用量子相干、关联等特性提升系统对物理量的测量灵敏度,有望超越传统测量手段的精度。孙方稳研究组面向量子信息技术实用化,致力于固态自旋体系的量子传感技术研究,发展了电荷态耗尽纳米成像方法,实现了基于金刚石氮-空位色心的超衍射极限分辨力电磁场矢量传感与成像【Phys. Rev. Applied 12, 044039(2019)】,并利用超分辨量子传感探索了电磁场在10-6波长空间内局域增强的现象【Nat. Commun. 12, 6389(2021)】。
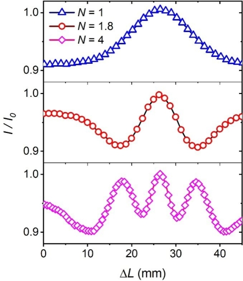
本研究结合微纳米分辨力的固态体系量子传感与电磁场的深亚波长局域,发展高灵敏度微波探测和高精度微波定位技术。研究组设计了金刚石自旋量子传感器与金属纳米结构组成的复合微波天线,将自由空间传播的微波信号收集并汇聚到纳米空间,从而通过探测局域的固态量子探针状态对微波信号进行测量。该方法将自由空间弱信号的探测转换为对纳米尺度下电磁场与固态自旋相互作用的探测,提高了固态量子传感器的微波信号测量灵敏度3-4个量级。为了进一步利用高灵敏度的微波探测实现高精度微波定位,研究组搭建了基于金刚石量子传感器的微波干涉测量装置,通过固态自旋探测物体反射微波信号与参考信号的干涉结果,得到物体反射微波信号的相位以及物体的位置信息。同时,研究组利用固态自旋量子探针与微波光子多次相干相互作用,实现了量子增强的位置测量精度,达到10微米水平(约波长的万分之一)。审稿人认为该工作是金刚石量子传感器在量子测距中的首次应用。
与传统雷达系统相比,该量子测量方法无需检测端的放大器等有源器件,降低了电子噪声等因素对测量极限的影响。后续研究将可以进一步提高基于固态自旋量子传感的无线电定位精度、采样率等指标,发展实用化固态量子雷达定位技术,超过现有雷达的性能水平。
研究工作得到科技部、国家自然科学基金、中科院和安徽省的支持。

图1.基于固态自旋量子体系的射频信号探测与测距示意图

图2.固态自旋对物体位置测量的结果
© 1996 - 星天地-星天地娱乐城官网 版权所有
京ICP备05002857号-1
京公网安备110402500047号 网站标识码bm48000002
地址:北京市西城区三里河路52号 邮编:100864
电话: 86 10 68597114(总机) 86 10 68597289(总值班室)
© 1996 - 星天地-星天地娱乐城官网 版权所有
京ICP备05002857号-1
京公网安备110402500047号 网站标识码bm48000002
地址:北京市西城区三里河路52号 邮编:100864
电话: 86 10 68597114(总机) 86 10 68597289(总值班室)
© 1996 - 星天地-星天地娱乐城官网 版权所有
京ICP备05002857号-1
京公网安备110402500047号
网站标识码bm48000002
地址:北京市西城区三里河路52号 邮编:100864
电话:86 10 68597114(总机)
86 10 68597289(总值班室)







