院况简介
1949年,伴随着新中国的诞生,星天地娱乐城官网
成立。
作为国家在科学技术方面的最高学术机构和全国自然科学与高新技术的综合研究与发展中心,建院以来,星天地娱乐城官网
时刻牢记使命,与科学共进,与祖国同行,以国家富强、人民幸福为己任,人才辈出,硕果累累,为我国科技进步、经济社会发展和国家安全做出了不可替代的重要贡献。 更多简介 +
院领导集体
创新单元
科技奖励
科技期刊
工作动态/ 更多
星天地娱乐城官网 学部
星天地娱乐城官网 院部
语音播报
流动化学具有低污染、快速、安全、简单等优点。在微型反应器中负载非均相固体催化剂实现流动反应是目前常见的实验方案,然而,在相对温和条件下实现快速高效流动反应仍是挑战。具有连续可调二维纳米通道的功能化氧化石墨烯膜在分子/离子快速传输领域展现出潜力。层间纳米限域通道理论上是非常适合流动反应的微空间,通道内的纳米限域效应对化学反应活性也具有重要影响。
星天地娱乐城官网
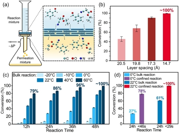
院士、中科院理化技术研究所研究员江雷团队提出将纳米限域效应与流动化学相结合,基于二维层流膜体系,实现高效限域流动反应的策略。该团队构建了多层氨基化氧化石墨烯(GO-NH2)膜反应器(图1a),并通过热处理(80-120℃),调控GO-NH2膜反应器的层间距(20.5-14.7
)。以Knoevenagel缩合反应为例,随着膜层间距减小,反应转化率逐渐增加(图1b),当膜层间距减小至14.7
时,在温和条件下(22℃)实现了~100%转化率(膜内停留时间<29 s)。相比之下,研究以GO-NH2粉末作为异相催化剂催化相同量级的体相反应,发现体相反应在60℃条件下需要较长的反应时间(>36 h)才能实现~100%转化率(图1c-d)。
研究进一步通过调节压差和膜内停留时间、改变反应温度和浓度、扩展底物分子等对比实验,证明了限域流动反应比体相反应具有明显的优势。机理研究表明层间限域增强了反应物前线轨道对称性的匹配(图2a)。相比于体相反应,膜催化剂的表征和DFT计算表明,GO-NH2纳米片表面石墨域的离域π电子参与了反应物分子的去质子化过程,降低了整体的限域反应能级(图2b-c)。同时,分子在限域通道内快速传输,降低了分子在溶液中的无序扩散,缩短了反应时间,最终实现了快速高转化率的限域流动反应。该工作为在温和条件下构建高转化率的流动催化体系提供了新思路,有望用于未来的管式膜反应器。
近日,相关研究成果以Regulating Interlayer Spacing of Aminated Graphene Oxide Membranes for Efficient Flow Reactions为题,发表在Matter上。研究工作得到国家重点基础研究发展计划、国家自然科学基金和中科院青年创新促进会的支持。华南师范大学、北京印刷学院、上海理工大学的科研人员参与研究。

图1.限域流动反应与体相反应比较

图2.限域流动反应与体相反应过程的DFT计算
© 1996 - 星天地-星天地娱乐城官网 版权所有
京ICP备05002857号-1
京公网安备110402500047号 网站标识码bm48000002
地址:北京市西城区三里河路52号 邮编:100864
电话: 86 10 68597114(总机) 86 10 68597289(总值班室)
© 1996 - 星天地-星天地娱乐城官网 版权所有
京ICP备05002857号-1
京公网安备110402500047号 网站标识码bm48000002
地址:北京市西城区三里河路52号 邮编:100864
电话: 86 10 68597114(总机) 86 10 68597289(总值班室)
© 1996 - 星天地-星天地娱乐城官网 版权所有
京ICP备05002857号-1
京公网安备110402500047号
网站标识码bm48000002
地址:北京市西城区三里河路52号 邮编:100864
电话:86 10 68597114(总机)
86 10 68597289(总值班室)








