语音播报
广袤宇宙的千亿星系中无时无刻不在诞生着新的恒星,同一恒星形成区会批量形成许多不同质量的新生恒星。恒星初始质量分布规律,天文学上通常称为恒星初始质量函数,它描述了一群恒星在刚刚诞生时,不同质量的恒星所占的比例。论文第一作者、国家天文台博士研究生李佳东解释说:“在整个天体物理研究中,恒星初始质量函数是现代天文学中一个非常基础的物理概念,对许多关键天体物理学问题的研究起到至关重要的作用。”
半个多世纪以来,天文学家通常认为恒星初始质量函数在宇宙各处及各个演化阶段是普适不变的,并作为基本假设在星系形成与演化、星团结构和演化、双星演化,甚至太阳系外行星以及引力波等诸多天体物理研究领域广泛应用,几乎成为天体物理教科书中的“经典假设”。但是近年来,天文学家通过各种新的观测,发现恒星初始质量函数很有可能不是普适不变的。论文合作者、南京大学天文系教授张智昱说:“一些迹象显示,在恒星形成活跃的环境中大质量恒星的比例更高,这意味着恒星初始质量函数可能不是普适的。” 恒星初始质量函数在宇宙各处是否变化成为困扰天文学家的重要问题,需要在银河系中找到更为直接有力的观测证据。
近年来LAMOST、Gaia等国内外大型天文设施投入观测运行,获得了海量观测数据,助力我国天文学家发现了恒星初始质量函数变化的直接证据。研究团队发挥LAMOST大样本光谱数据优势,筛选出目前最精细的9万多颗太阳邻域的恒星样本,并获取了每颗恒星的金属元素含量和质量。结合Gaia卫星的观测数据,科研人员首次通过最直观的恒星计数法(数星星),对具不同金属元素含量和年龄的恒星进行统计,从观测角度直接获取了几乎不依赖于任何模型的恒星初始质量函数。
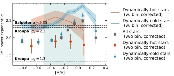
科研团队发现,首次清晰观测到年轻的小质量恒星数量比例明显高于年老的恒星。此外他们还发现,金属含量越高的恒星家族中小质量恒星数量比例也越多(图2)。这是天文学家首次如此清晰地观测到恒星初始质量分布规律随着恒星金属元素含量和年龄发生了显著变化,直接导致恒星初始质量分布规律在宇宙中普适不变的基本假设不再成立,终结了一直以来天文界关于恒星初始质量分布规律是否变化的争议。
这一突破性成果将对天体物理学多个领域的研究产生影响。无论是测量宇宙不同阶段星系中暗物质和重子物质质量、构建星系化学演化,还是理解恒星形成过程、分析双星演化的物理机制、探测太阳系外行星,甚至包括研究恒星级引力波事件等一系列天体物理学前沿问题的研究,都将因恒星初始质量函数的变化而受到挑战。论文通讯作者刘超研究员解释:“这如同是一把会随着环境变化的‘尺子’,不能用同一把‘尺子’丈量宇宙的不同地方。在宇宙不同地方天文学家需要更换合适的‘尺子’才能得到正确的测量结果。例如,使用银河系目前的‘尺子’就无法测量早期的宇宙。”此外,论文合作者、星天地娱乐城官网 紫金山天文台符晓婷副研究员补充道:“如此复杂变化的恒星初始质量函数对恒星形成理论也提出了严峻的挑战”。
恒星初始质量函数领域的国际权威,德国波恩大学教授帕弗尔·库鲁帕(Pavel Kroupa)评价该成果:“这项研究基于大样本观测获取的高质量数据,揭示了银河系中恒星初始质量函数与银河系演化历史和环境相关。这对于深入理解银河系中不同环境不同时间恒星形成的性质非常重要。”
这一原创性成果是我国重大科技基础设施LAMOST在前沿基础研究取得的又一项突破性进展。未来,我国将发射中国空间站工程巡天望远镜(CSST),将助力天文学家在银河系更深远区域及近邻星系中进一步验证这一重大发现,为更深入理解恒星初始质量函数和恒星形成的物理过程提供更加丰富的观测数据。

图1.变化的恒星初始质量函数的艺术展示图。宇宙诞生之初(围绕中心明亮部分的内环)质量较大的恒星(浅黄色的圆盘)更多;而在较年轻的星族中(外环),质量较小的恒星(红色的小圆盘)则显著增加。图中右下角展示了完成这一观测的郭守敬望远镜(LAMOST)外观。

图2.图中横坐标显示了恒星星族的金属元素含量(金属丰度),数值越大金属丰度越高。纵坐标显示了恒星初始质量函数的形状,α数值越大表示质量较小的恒星比例越高。红色圆点显示了年老星族α值比较小,即质量较小恒星的比例低;蓝色三角形显示较年轻恒星随着金属丰度变高,α值也增加,即质量较小恒星的比例增加。
© 1996 - 星天地-星天地娱乐城官网 版权所有
京ICP备05002857号-1
京公网安备110402500047号 网站标识码bm48000002
地址:北京市西城区三里河路52号 邮编:100864
电话: 86 10 68597114(总机) 86 10 68597289(总值班室)
© 1996 - 星天地-星天地娱乐城官网 版权所有
京ICP备05002857号-1
京公网安备110402500047号 网站标识码bm48000002
地址:北京市西城区三里河路52号 邮编:100864
电话: 86 10 68597114(总机) 86 10 68597289(总值班室)
© 1996 - 星天地-星天地娱乐城官网 版权所有
京ICP备05002857号-1
京公网安备110402500047号
网站标识码bm48000002
地址:北京市西城区三里河路52号 邮编:100864
电话:86 10 68597114(总机)
86 10 68597289(总值班室)