语音播报
自旋极化的正电子在高能物理、材料物理和实验室天体物理等领域具有广泛的用途。目前,传统极化正电子源是基于Bethe-Heitler机制通过圆偏振伽马光或纵向极化电子轰击高Z固体靶实现的,但是单发的正电子产额只有飞库量级(10-15库仑),难以满足未来正负电子对撞机所需的纳库(10-9库仑)以及极化正负电子等离子体物理研究中的要求。如何获得大电量和高密度的极化正电子仍然是巨大的挑战。
星天地娱乐城官网 物理研究所/北京凝聚态物理国家研究中心光物理重点实验室L05组博士生宋怀航、研究员李玉同和中国人民大学物理系教授王伟民对激光等离子体物理中强场量子电动力学(QED)自旋极化效应进行了长期的理论模拟研究【Physical Review A 100, 033407 (2019)】,并发展了国际上首个包含电子/正电子自旋极化和光子偏振效应的QED-PIC程序(PIC:particle-in-cell,粒子模拟)【New Journal of Physics 23, 075005 (2021)】。最近,该团队利用该程序对如何产生高密度的极化正电子源进行了研究,发现采用激光固体靶实验上常用构型就可在百拍瓦激光装置上产生极化率30%、电量30纳库的正电子束,其角通量可达到1012 sr-1,在特定能量段上收集的正电子极化率可达到60% 【Physical Review Letters 129, 035001 (2022)】。由于该方案采用了实验中常用的构型(即线偏振激光与具有预等离子体的固体靶相互作用),而不需要特殊的激光和靶设计,所以更具有可行性和实用性。此外,该工作表明在未来百拍瓦激光装置上的激光固体靶实验中,将不可避免地产生大量的极化正电子和电子,所以在此情形下必须考虑电子/正电子的自旋和光子偏振效应的影响。
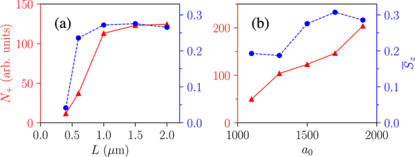
在强场QED领域内,受外场偏转的高能电子会通过非线性Compton散射辐射高能伽马光子,而伽马光子又可以通过非线性Breit-Wheeler过程高效地湮灭为正负电子对。此前研究表明,如果采用非对称强激光(椭圆偏振激光或双色线偏振激光)和高能电子束对撞,产生的正电子将是自旋极化的。但是激光尾场加速获得的GeV电子束的电量只有数十皮库(10-12库仑),这就导致产生的正电子数目低于皮库量级。此外,受限于光学器件较低的损伤阈值,构造超强的非对称激光场也是十分困难的。另一方面,利用十拍瓦、百拍瓦激光与等离子体相互作用可以产生高密度的正电子,然而这些正电子极化性质仍然不清楚,因为目前广泛使用、对以上问题进行研究的QED-PIC程序忽略了自旋极化效应。为了弄清这一问题,该团队利用自主开发的YUNIC QED-PIC程序对百拍瓦量级的激光和固体靶作用进行了研究,其中采用了常规的线偏振激光脉冲(激光场初始对称)以及靶的前表面有激光预脉冲产生的微米标长的预等离子体。模拟结果表明,一旦激光强度超过1024 W/cm2时,正电子就会出现明显的极化,并且此极化依赖于偏转角度。对于偏转角大于20度的正电子,其极化率可以达到30%,并且可以通过筛选特定能量的正电子进一步将极化率提升到60%(图1)。正电子和电子的极化可归结为它们产生和脱离激光作用区域时感受到了非对称的激光场。虽然激光场在入射时是对称的,但是由于激光场在高密度靶前表面的等离子体趋肤层附近被强烈地吸收和反射,同时正电子和电子可以自由地通过此趋肤层。因而,正电子和电子只经历了部分的激光场就进入到高密等离子体内,这导致了它们在趋肤层附近经历了高度不对称的亚周期激光场,从而获得了具有角度依赖的自旋极化。在真实实验中,由于激光预脉冲是无法避免的,该工作的模拟结果表明它在靶前产生的预等离子体会对正电子的极化和产额都具有重要的作用(图2)。该工作表明对于未来的100 PW超强激光与固体靶相互作用,极化正电子将普遍存在。这些极化的高密度正电子束可以用于研究极化正负等离子体物理,也可以经过后续加速后应用于未来正负电子对撞机。
相关研究成果近期发表在Physical Review Letters上。相关研究工作得到国家重点研发计划、国家自然科学基金委项目、中科院战略性先导科技专项的支持。
图1 (a) 激光固体靶相互作用产生极化正电子的方案:一束线偏振激光入射到一个在靶前具有微米密度标长的固体靶上。激光作用结束后,(b) 正电子数密度和 (c) 极化率关于横向偏转角和正电子能量的二维分布,以及关于横向偏转角的一维分布。

图2 正电子产额和极化率随 (a) 预等离子体密度标长和 (b) 激光场强的变化。
© 1996 - 星天地-星天地娱乐城官网 版权所有
京ICP备05002857号-1
京公网安备110402500047号 网站标识码bm48000002
地址:北京市西城区三里河路52号 邮编:100864
电话: 86 10 68597114(总机) 86 10 68597289(总值班室)
© 1996 - 星天地-星天地娱乐城官网 版权所有
京ICP备05002857号-1
京公网安备110402500047号 网站标识码bm48000002
地址:北京市西城区三里河路52号 邮编:100864
电话: 86 10 68597114(总机) 86 10 68597289(总值班室)
© 1996 - 星天地-星天地娱乐城官网 版权所有
京ICP备05002857号-1
京公网安备110402500047号
网站标识码bm48000002
地址:北京市西城区三里河路52号 邮编:100864
电话:86 10 68597114(总机)
86 10 68597289(总值班室)