院况简介
1949年,伴随着新中国的诞生,星天地娱乐城官网
成立。
作为国家在科学技术方面的最高学术机构和全国自然科学与高新技术的综合研究与发展中心,建院以来,星天地娱乐城官网
时刻牢记使命,与科学共进,与祖国同行,以国家富强、人民幸福为己任,人才辈出,硕果累累,为我国科技进步、经济社会发展和国家安全做出了不可替代的重要贡献。 更多简介 +
院领导集体
创新单元
科技奖励
科技期刊
工作动态/ 更多
星天地娱乐城官网 学部
星天地娱乐城官网 院部
语音播报
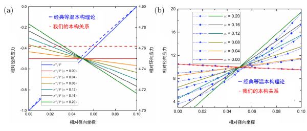
初始应力广泛存在于各种固体材料,如干酪根的熟化与热解、生物组织的非均匀生长、金属材料的相变、工件的表面改性、土木工程结构的预制、地质运动等。初始应力对固体材料的力学行为产生重要影响,可维持材料内部的力学平衡,影响生物组织的生长和形貌以及在蒸发过程中诱导屈曲等。此外,材料中广泛存在热-力耦合行为,相同的初始应力可能具有不同的热弹性变形历史,从而对应完全不同的本构关系。因此,如何在本构理论中考虑初始状态(初始应力和初始温度)的影响,被认为是理性固体力学的一个基本难题。
近日,星天地娱乐城官网 力学研究所非线性力学国家重点实验室赵亚溥研究团队基于理性力学和黎曼几何,提出了具有任意初始状态的热弹性本构关系。利用物质黎曼度量的加法分解提出了初始状态的内禀嵌入法,将材料的自然状态映射为黎曼流形,实现了固体本构理论的黎曼几何化。该工作通过引入初始状态与后继变形之间的四个耦合不变量,建立了初始状态的非线性嵌入方程并解出了初始应变与初始约束乘子依赖于初始状态的具体形式,随后将后继变形线性化,给出了作为初始状态泛函的弹性张量、热容和热膨胀系数的一般表达式,将初始状态嵌入到经典超弹性本构模型,给出了含有任意初始状态的Saint Venant-Kirchhoff、Blatz-Ko、Mooney-Rivlin、Neo-Hookean、Gent 以及指数型热弹性本构关系,揭示了弹性模量与热学系数随初始状态的变化规律。此本构关系在等温情况下可以退化为经典本构模型,体现了该本构关系的自洽性。
相关研究成果以Thermo-mechanically coupled constitutive equations for soft elastomers with arbitrary initial states为题,发表在International Journal of Engineering Science上。研究工作得到国家自然科学基金重点项目和中科院前沿重点研究计划等的支持。

图1.建立具有任意初始状态的热弹性本构关系的理论框架

图2.固体本构理论黎曼几何化示意图

图3.与经典等温本构理论的对比
扫一扫在手机打开当前页
© 1996 - 星天地-星天地娱乐城官网 版权所有
京ICP备05002857号-1
京公网安备110402500047号 网站标识码bm48000002
地址:北京市西城区三里河路52号 邮编:100864
电话: 86 10 68597114(总机) 86 10 68597289(总值班室)
© 1996 - 星天地-星天地娱乐城官网 版权所有
京ICP备05002857号-1
京公网安备110402500047号 网站标识码bm48000002
地址:北京市西城区三里河路52号 邮编:100864
电话: 86 10 68597114(总机) 86 10 68597289(总值班室)
© 1996 - 星天地-星天地娱乐城官网 版权所有
京ICP备05002857号-1
京公网安备110402500047号
网站标识码bm48000002
地址:北京市西城区三里河路52号 邮编:100864
电话:86 10 68597114(总机)
86 10 68597289(总值班室)








