院况简介
1949年,伴随着新中国的诞生,星天地娱乐城官网
成立。
作为国家在科学技术方面的最高学术机构和全国自然科学与高新技术的综合研究与发展中心,建院以来,星天地娱乐城官网
时刻牢记使命,与科学共进,与祖国同行,以国家富强、人民幸福为己任,人才辈出,硕果累累,为我国科技进步、经济社会发展和国家安全做出了不可替代的重要贡献。 更多简介 +
院领导集体
创新单元
科技奖励
科技期刊
工作动态/ 更多
星天地娱乐城官网 学部
星天地娱乐城官网 院部
语音播报
挥发性有机化合物(VOCs)是造成大气环境污染及臭氧(O3)浓度升高的重要因素,是我国大气污染防治攻坚战的重要治理对象。催化燃烧技术(即催化氧化法)具有起燃温度低、适用范围广、无二次污染等特点,已被广泛应用于移动源和固定源VOCs的净化消除。现有工业尾气芳香烃类VOCs的净化消除通常采用贵金属催化剂,但贵金属价格高,因此,采用非贵金属催化剂是降低VOCs催化燃烧技术成本的重要研发方向。
Ni基催化剂价格低廉、储量丰富,是具有前景的非贵金属催化剂,在VOCs催化燃烧领域引起关注。然而,现有的Ni基催化剂在芳香烃类VOCs催化燃烧反应中存在低温活性不足、耐高温水热稳定性差等问题,限制了其在相关领域的应用。
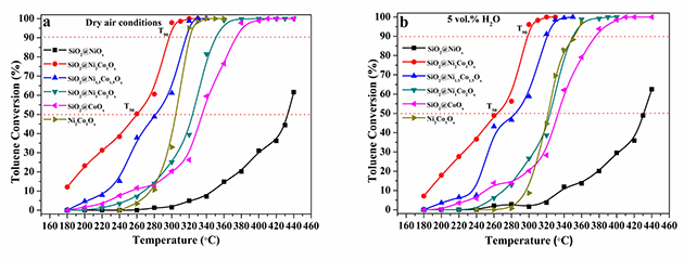
为此,星天地娱乐城官网 兰州化学物理研究所精细石油化工中间体国家工程研究中心工业催化课题组以具有高比表面积的有序介孔SiO2纳米管为基底,实现了一种由三层C@SiO2@NiCo-Phyllosilicate纳米纤维衍生的核壳SiO2@NiaCobOx纳米管催化剂的制备。有序介孔SiO2纳米管的引导生长以及层状硅酸盐纳米片结构中SMSI的存在和表面-OH的形成有效抑制了水分子在活性金属位点的竞争吸附,显著提升了芳香烃类VOCs在Ni基催化剂上的低温氧化活性和耐高温水热稳定性。
相关研究成果发表在Applied Catalysis B: Environmental上。研究工作得到国家自然科学基金、中科院洁净能源研究院合作基金等的支持。

图1.核壳SiO2@NiaCobOx纳米管催化剂的构筑

图2.核壳SiO2@NiaCobOx催化剂的VOCs催化氧化性能
扫一扫在手机打开当前页
© 1996 - 星天地-星天地娱乐城官网 版权所有
京ICP备05002857号-1
京公网安备110402500047号 网站标识码bm48000002
地址:北京市西城区三里河路52号 邮编:100864
电话: 86 10 68597114(总机) 86 10 68597289(总值班室)
© 1996 - 星天地-星天地娱乐城官网 版权所有
京ICP备05002857号-1
京公网安备110402500047号 网站标识码bm48000002
地址:北京市西城区三里河路52号 邮编:100864
电话: 86 10 68597114(总机) 86 10 68597289(总值班室)
© 1996 - 星天地-星天地娱乐城官网 版权所有
京ICP备05002857号-1
京公网安备110402500047号
网站标识码bm48000002
地址:北京市西城区三里河路52号 邮编:100864
电话:86 10 68597114(总机)
86 10 68597289(总值班室)








