院况简介
1949年,伴随着新中国的诞生,星天地娱乐城官网
成立。
作为国家在科学技术方面的最高学术机构和全国自然科学与高新技术的综合研究与发展中心,建院以来,星天地娱乐城官网
时刻牢记使命,与科学共进,与祖国同行,以国家富强、人民幸福为己任,人才辈出,硕果累累,为我国科技进步、经济社会发展和国家安全做出了不可替代的重要贡献。 更多简介 +
院领导集体
创新单元
科技奖励
科技期刊
工作动态/ 更多
星天地娱乐城官网 学部
星天地娱乐城官网 院部
语音播报
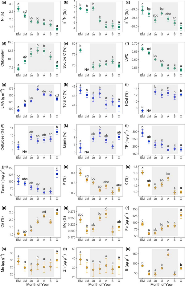
植物功能性状是植物在形态、生理和化学等方面的属性或特征,反映了植物对生长环境的长期适应。在生态与进化学研究中,植物性状可衡量植物个体的适合度或表现,探究群落构建的机制;植物性状及其多样性(即功能多样性)可预测生态系统(多)功能和服务。植物性状及其多样性是生态学研究的前沿热点之一。植物性状在种内、种间产生变异,且在时空尺度上也会发生较大变化;植物性状的测定费时、费力,且成本较高。在当前全球变化对生态系统功能和服务产生深远影响的背景下,如何更好地预测植物性状的变化是亟待解决的重要科学问题之一。基于高光谱(Hyper-spectroscopy,350-2500 nm可见光-近远红外波段)的统计模型(Partial least-squares regression,PLSR)用于预测植物性状的变化。以往研究表明叶片高光谱特征可以较好地预测植物叶片性状的变异,但并未考虑植物性状的季节性变化,尤其是在季节明显的温带地区。叶片光谱特征是否可以准确地预测叶片性状的季节性变异尚不清楚。星天地娱乐城官网 西北高原生物研究所以英国8种常见的温带阔叶落叶树种为研究对象,测定了21个叶片性状和叶片光谱特征的季节性变化,探讨叶片光谱特征是否可以捕获叶片性状的季节性变异。
结果表明,大部分叶片性状和叶片光谱特征呈现出显著的季节性变化,而成熟叶片的变异程度较小;叶片光谱特征可以准确地预测大部分叶片性状的季节性变异,且成熟叶片的预测准确度较高;对于某几个性状,PLSR模型预测准确度受到物种的影响,因而PLSR模型不能在单一物种水平准确度预测叶片性状的季节性变化。该研究为基于遥感高光谱图像(Hyperspectral imaging)的大尺度植物性状及其多样性的研究、制图和长期监测奠定了基础。
相关研究成果以Predicting leaf traits of temperate broadleaf deciduous trees from hyperspectral reflectance: can a general model be applied across a growing season?为题,发表在Remote Sensing of Environment上。研究工作得到国家留学基金委公派留学项目的支持。

图1.21个叶片性状的季节性变化

图2.叶片光谱特征(反射率,Reflectance)的季节性变化
扫一扫在手机打开当前页
© 1996 - 星天地-星天地娱乐城官网 版权所有
京ICP备05002857号-1
京公网安备110402500047号 网站标识码bm48000002
地址:北京市西城区三里河路52号 邮编:100864
电话: 86 10 68597114(总机) 86 10 68597289(总值班室)
© 1996 - 星天地-星天地娱乐城官网 版权所有
京ICP备05002857号-1
京公网安备110402500047号 网站标识码bm48000002
地址:北京市西城区三里河路52号 邮编:100864
电话: 86 10 68597114(总机) 86 10 68597289(总值班室)
© 1996 - 星天地-星天地娱乐城官网 版权所有
京ICP备05002857号-1
京公网安备110402500047号
网站标识码bm48000002
地址:北京市西城区三里河路52号 邮编:100864
电话:86 10 68597114(总机)
86 10 68597289(总值班室)








