院况简介
1949年,伴随着新中国的诞生,星天地娱乐城官网
成立。
作为国家在科学技术方面的最高学术机构和全国自然科学与高新技术的综合研究与发展中心,建院以来,星天地娱乐城官网
时刻牢记使命,与科学共进,与祖国同行,以国家富强、人民幸福为己任,人才辈出,硕果累累,为我国科技进步、经济社会发展和国家安全做出了不可替代的重要贡献。 更多简介 +
院领导集体
创新单元
科技奖励
科技期刊
工作动态/ 更多
星天地娱乐城官网 学部
星天地娱乐城官网 院部
语音播报
快速射电暴(Fast Radio Burst,FRB)是持续时间在毫秒量级的射电波段的高能瞬变信号,具有爆发时间短、能量高的特点。2007年,美国西弗吉尼亚大学发现第一个FRB,至今已有100多个FRB被探测到,而产生这种信号的物理机制尚没有明确论断。
由于射电信号在等离子体中传播存在色散,导致不同频率的FRB信号到达地球的时间有差异,而对色散量的测量显示FRB是来自银河系外(河外),甚至是宇宙学距离(几亿光年)上的射电源。对几个FRB寄主星系的定位也证实了这一观点。FRB是理想的点源,事件发生率高,信号持续时间短,这些特点使FRB成为探索宇宙学的探针:如此短时间释放如此高能量,说明这是宇宙中的极端物理事件。美国哥伦比亚大学天体物理学家布莱恩·梅策格尔认为,快速射电暴可能是中子星合并的结果。如果是中子星合并,那么会同时产生引力波。如果发生在可探测引力波的距离——银河系内,会对地球的无线电通讯造成巨大甚至破坏性影响。
迄今为止发现的多数FRB均是单峰的,少数FRB呈现出多峰轮廓(或称重复快速射电暴),产生这种现象的原因尚不清楚,是多次爆发还是另外物理机制导致,尚未有定论。
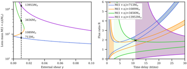
近日,星天地娱乐城官网 紫金山天文台星系宇宙学和暗能量研究团组从引力透镜的角度出发,数值模拟证明了点质量透镜模型和点质量加外部剪切透镜模型均可以产生单峰FRB信号的两个像,导致双峰轮廓的出现。也就是说,引力透镜可以为FRB双峰轮廓的出现提供可能的解释,且只需要光路上FRB的前景有点质量天体,就自然地存在这种可能性。对于点质量透镜模型,它产生的双峰信号前峰比后峰高,而点质量加外部剪切透镜模型可以将这一情况反转,即产生比前峰高的后峰。研究还发现,对于点质量透镜模型,透镜天体质量M和红移zl的乘积组合M(1+zl),可以直接由两个观测值:前后峰的时间延迟Δt和流量比R计算出来,而对于点质量加外部剪切透镜模型,可以对M(1+zl)的范围做出一些限制,研究分别以FRB121002和FRB130729这两个双峰FRB的Δt和R的观测值作为参考(图1、2),使用紫金山天文台“宇宙学数值模拟数据库”中的光线追踪引力透镜数据子库完成模型的建立和有效性检验,将模型运用到观测数据,并阐明这一过程,这为限制透镜天体的质量提供了新颖的方法。
相关研究成果发表在The Astrophysical Journal上。研究工作得到国家自然科学基金、国家基础学科公共科学数据中心宇宙学数值模拟数据库(Cosmology simulation database,CSD) 等的支持。

图1.左:以FRB130729的观测量为参考的M(1+zl)和外部剪切关系,以及当外部剪切为0.01时对透镜天体质量做出的限制,右:点质量加外部剪切透镜模型给出的流量比和时间延迟关系,以及FRB130729的观测量对应的位置。(Chen et al. 2021)

图2.左:以FRB121002的观测量为参考的M(1+zl)和外部剪切关系,以及当外部剪切为0.01时对透镜天体质量做出的限制,右:点质量加外部剪切透镜模型给出的流量比和时间延迟关系,以及FRB121002的观测量对应的位置。(Chen et al. 2021)
扫一扫在手机打开当前页
© 1996 - 星天地-星天地娱乐城官网 版权所有
京ICP备05002857号-1
京公网安备110402500047号 网站标识码bm48000002
地址:北京市西城区三里河路52号 邮编:100864
电话: 86 10 68597114(总机) 86 10 68597289(总值班室)
© 1996 - 星天地-星天地娱乐城官网 版权所有
京ICP备05002857号-1
京公网安备110402500047号 网站标识码bm48000002
地址:北京市西城区三里河路52号 邮编:100864
电话: 86 10 68597114(总机) 86 10 68597289(总值班室)
© 1996 - 星天地-星天地娱乐城官网 版权所有
京ICP备05002857号-1
京公网安备110402500047号
网站标识码bm48000002
地址:北京市西城区三里河路52号 邮编:100864
电话:86 10 68597114(总机)
86 10 68597289(总值班室)








