语音播报
氦是最轻的单原子分子,由不确定性关系可知在液相或固相中氦原子具有剧烈的量子零点运动,因而是研究量子液体与量子固体最合适的体系。氦也是最纯净的体系——所有由其他元素构成杂质都将因为范德华相互作用被吸附固定,从而不影响氦本身的性质。然而,氦存在两种稳定同位素4He和3He,因此同位素杂质成为极低温条件下唯一活跃的杂质。
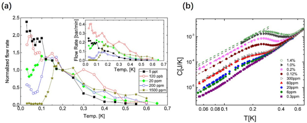
以往研究表明,同位素杂质在液体或固体氦中具有非常高的迁移率,且由于4He和3He分别服从玻色和费米统计,即使是极微量的杂质也可明显改变体系性质。以固体4He中的质量超流为例,浓度为1500 ppm的3He杂质可完全抑制超流效应【Cheng, et al, Physical Review Letters 117, 025301 (2016)】;而在热力学性质方面,浓度为6 ppm的3He杂质导致固体4He在0.3 K以下的比热显著增加【Cheng, et al, Physical Review B 90, 224101 (2014)】。这些实例表明,同位素杂质对于氦的性质具有重要影响。
同位素杂质能明显改变氦的性质,但其分布和运动却难以测量。液体和固体氦通常是在极低温和高压条件下才能制备,而样品存在于封闭容器中,传统的表征手段无法直接作用于氦本身。氦为电中性,无法通过电输运的方式来表征。同位素杂质具有相当高的迁移率,且在不同环境中的束缚能不同,温度的变化导致杂质分布的平衡态也随之变化,杂质迁移不可避免,这使得定量分析系统性质与杂质浓度的关系变得困难。如何定量分析杂质对于固体或液体氦性质的影响是未能有效解决的难题。
近日,星天地娱乐城官网 物理研究所/北京凝聚态物理国家研究中心特聘研究员程智刚提出通过精密测定液氦介电常数来原位监测液氦中同位素杂质的浓度变化情况,为定量研究杂质影响提供了新的研究手段。根据Clausius-Mossotti关系,物质的介电常数与原子数密度相关。3He原子质量更小,量子零点运动更剧烈,相对于4He拥有更大的原子体积。在3He-4He混合系统中,3He浓度的变化导致介电常数变化,通过介电常数的精密测量可以反推出3He浓度。研究人员构造了“液氦-固氦”混合系统,并在液体部分放置同轴环形电容,同时测量液体压强用于扣除压力变化所导致的原子数密度变化。实验结果表明,该方法对于3He浓度的分辨率达到40 ppm,满足多数实验场景对于3He浓度测定的精度要求。
科研人员利用该方法进一步研究3He杂质从液相向固相扩散的过程,发现扩散时间常数随温度升高而降低:在0.4 K约为300分钟;在0.7 K约为30分钟;时间常数与温度的关系满足热激发过程,激发能为3.45 K。分析表明,该扩散过程的快慢主要取决于3He杂质在固体4He中沿晶界扩散过程。这一实例表明,通过介电常数原位监测同位素杂质浓度的技术,在定量研究杂质运动的动力学过程和对体系性质的影响方面起到有效作用。
相关研究成果发表在Physical Review Research上。研究工作得到中科院基础前沿科学研究计划“从0到1”原始创新项目、国家重点研发计划和国家自然科学基金面上项目的支持。

图1.(a)含有不同3He杂质浓度的4He固体中超流流量随温度变化关系;(b)含有不同3He杂质浓度的固体4He的比热容随温度变化关系

图2.(a)原位测量3He浓度实验装置;(b)3He杂质由液相扩散至固相所导致的液相压强和电容随时间的演化过程,其中电容演化过程满足指数特征,可以通过拟合提取扩散时间常数;(c)扩散时间常数随温度的关系,插图表明该过程在0.5 K以上满足热激发过程,激发能为3.45 K
© 1996 - 星天地-星天地娱乐城官网 版权所有
京ICP备05002857号-1
京公网安备110402500047号 网站标识码bm48000002
地址:北京市西城区三里河路52号 邮编:100864
电话: 86 10 68597114(总机) 86 10 68597289(总值班室)
© 1996 - 星天地-星天地娱乐城官网 版权所有
京ICP备05002857号-1
京公网安备110402500047号 网站标识码bm48000002
地址:北京市西城区三里河路52号 邮编:100864
电话: 86 10 68597114(总机) 86 10 68597289(总值班室)
© 1996 - 星天地-星天地娱乐城官网 版权所有
京ICP备05002857号-1
京公网安备110402500047号
网站标识码bm48000002
地址:北京市西城区三里河路52号 邮编:100864
电话:86 10 68597114(总机)
86 10 68597289(总值班室)