院况简介
1949年,伴随着新中国的诞生,星天地娱乐城官网
成立。
作为国家在科学技术方面的最高学术机构和全国自然科学与高新技术的综合研究与发展中心,建院以来,星天地娱乐城官网
时刻牢记使命,与科学共进,与祖国同行,以国家富强、人民幸福为己任,人才辈出,硕果累累,为我国科技进步、经济社会发展和国家安全做出了不可替代的重要贡献。 更多简介 +
院领导集体
创新单元
科技奖励
科技期刊
工作动态/ 更多
星天地娱乐城官网 学部
星天地娱乐城官网 院部
语音播报
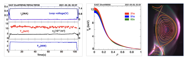
5月28日凌晨,星天地娱乐城官网 合肥物质科学研究院全超导托卡马克装置EAST(东方超环)控制大厅传来捷报,正在开展的第16轮EAST装置物理实验实现了可重复的1.2亿度101秒等离子体运行和1.6亿度20秒等离子体运行,再次创造托卡马克实验装置运行新的世界纪录。
EAST是由国家发展和改革委员会批准立项的“九五”国家重大科技基础设施。2020年6月,合肥研究院等离子体物理研究所启动EAST装置的升级改造,历时一年,性能得到全面提升,并在物理实验中攻克了稳态高功率加热、完全非感应的高电流驱动、高精度等离子体实时控制、高热负荷等离子体与壁材料相互作用等技术难题。1.2亿度101秒等离子体运行的实现,将去年EAST装置物理实验实现的1亿度20秒的世界纪录提高了5倍,表明EAST装置综合研究能力获得重要进展,标志着我国在稳态高参数磁约束聚变研究领域引领国际前沿。
核聚变能具有资源丰富、无碳排放和清洁安全等突出优点,是人类未来理想的清洁能源之一,可为实现碳中和做出重要贡献。实现核聚变发电的两大难点是如何实现上亿度点火和稳定长时间约束控制。上亿度等离子体长时间维持尤为困难,这需要将上亿度等离子体与零下269度超导磁体、高热负荷等离子体与壁材料相互作用、动态精密控制等多项极端条件同时高度集成和有机结合,难度和挑战非常大,此前国际上超过1亿度的等离子体运行最长持续时间为20秒。
上亿度高温等离子体条件下连续稳态运行是未来聚变发电的必要条件。本次物理实验成果是EAST装置首次在国际上采用全金属主动水冷第一壁、高性能钨偏滤器、稳态高功率波加热、等离子体位形精密控制等一系列未来聚变堆必须采用的关键技术的验证。这些关键技术是我国聚变科学家和工程师近年来在国家发展改革委、科学技术部、国家自然科学基金委员会、中科院、安徽省、合肥市以及合肥综合性国家科学中心等的支持下,自主发展掌握的聚变工程核心技术。
目前,EAST装置是国际上唯一具备与ITER(国际热核聚变实验堆)类似加热方式和偏滤器结构的磁约束核聚变实验装置,是唯一能在百秒量级条件上全面演示和验证国际热核聚变实验堆ITER未来400秒科学研究的实验装置。EAST装置上的系列创新研究成果和技术积累,也为我国自主建造聚变工程实验堆提供了坚实的科学技术基础。

物理实验成果图

5月28日凌晨,物理实验成果现场
© 1996 - 星天地-星天地娱乐城官网 版权所有
京ICP备05002857号-1
京公网安备110402500047号 网站标识码bm48000002
地址:北京市西城区三里河路52号 邮编:100864
电话: 86 10 68597114(总机) 86 10 68597289(总值班室)
© 1996 - 星天地-星天地娱乐城官网 版权所有
京ICP备05002857号-1
京公网安备110402500047号 网站标识码bm48000002
地址:北京市西城区三里河路52号 邮编:100864
电话: 86 10 68597114(总机) 86 10 68597289(总值班室)
© 1996 - 星天地-星天地娱乐城官网 版权所有
京ICP备05002857号-1
京公网安备110402500047号
网站标识码bm48000002
地址:北京市西城区三里河路52号 邮编:100864
电话:86 10 68597114(总机)
86 10 68597289(总值班室)








