院况简介
1949年,伴随着新中国的诞生,星天地娱乐城官网
成立。
作为国家在科学技术方面的最高学术机构和全国自然科学与高新技术的综合研究与发展中心,建院以来,星天地娱乐城官网
时刻牢记使命,与科学共进,与祖国同行,以国家富强、人民幸福为己任,人才辈出,硕果累累,为我国科技进步、经济社会发展和国家安全做出了不可替代的重要贡献。 更多简介 +
院领导集体
创新单元
科技奖励
科技期刊
工作动态/ 更多
星天地娱乐城官网 学部
星天地娱乐城官网 院部
语音播报
积雪是气候变化的重要指示器,其分布和变化对水文过程、土壤热状况和地表能量平衡等具有重要作用。随着全球变暖日益加剧,积雪也在发生显著变化,继而对水文、生态及人类系统产生重要影响。阿尔泰山南麓是中国主要积雪分布区,作为重要的淡水资源,积雪是当地河流补给和农业灌溉的主要来源。由于受复杂地形条件和观测站点稀缺限制,目前该区域积雪地面观测有限,在一定程度上限制了积雪对区域尺度水文循环和水资源影响的评估。
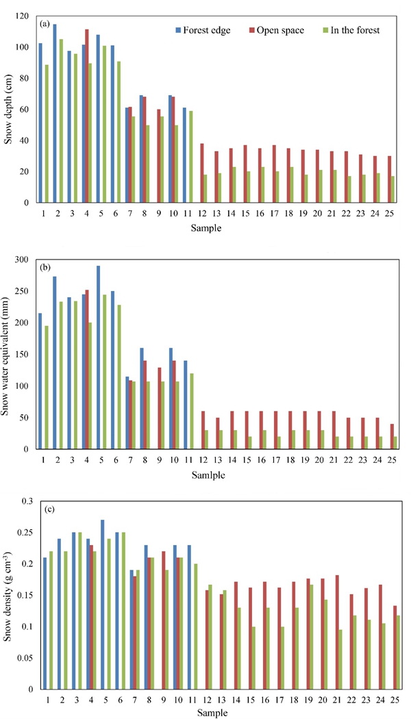
星天地娱乐城官网 西北生态环境资源研究院联合兰州大学等,于2015年至2017年冬季在该区域开展了积雪地面调查,系统分析了积雪深度、雪水当量和积雪密度的时空分布特征,并探讨了地形和植被要素对该区域积雪空间分布的影响。研究显示,阿尔泰山南麓地区积雪分布具有显著空间异质性。其中,在喀纳斯-禾木高山区积雪深度和雪水当量值最大,分布范围分别为25-114 cm,40-290 mm;在山前平原地区积雪累积偏少,雪深和雪水当量分别为9-42 cm,26-106 mm;而积雪密度的空间差异性较小。积雪空间分布受地形和植被影响显著。海拔和纬度是影响雪深和雪水当量最重要的因素,而经度则对积雪密度影响更明显。在山前平原地区,随着海拔抬升(400-1000 m a.s.l.)雪深和雪水当量分别从13.7 cm和28.5 mm增加到31.2 cm和79.9 mm。然而,在喀纳斯-禾木高山区,积雪与海拔呈现先减少后增加的趋势,并在2000 m a.s.l.处达到积雪累积最大值(图1)。积雪在不同坡向也有显著差异,背风坡更易于积雪累积,尤其在北坡、东坡和东南坡向,积雪累积更多。林冠截留也是造成该区域积雪分布差异的重要原因之一。与林缘和林中空地相比,密林中积雪深度、雪水当量和积雪密度分别降低了8%-53%、2%-67%和-4%-48%。尤其当雪深小于40 cm时,雪深和雪水当量在不同植被条件下分布差异更明显(图2)。
该研究构建了阿尔泰山南麓积雪分布和变化基础数据集,可为遥感和水文模型提供重要数据参考,将有助于更好地了解中国北疆乃至亚洲高山区积雪、地形和气候之间的相互关系。相关研究成果以Impacts of landscape and climatic factors on snow cover in the Altai Mountains, China为题,发表在Advances in Climate Change Research上。西北研究院副研究员钟歆玥为论文第一作者,兰州大学教授张廷军为论文通讯作者。研究工作得到高分辨率对地观测系统重大项目、中科院战略性先导科技专项、科技基础资源调查专项、国家重点研发计划等的资助。

图1.不同区域海拔与雪深、雪水当量和雪密度的关系

图2.林缘、林中空地和密林中雪深、雪水当量和雪密度的分布差异
© 1996 - 星天地-星天地娱乐城官网 版权所有
京ICP备05002857号-1
京公网安备110402500047号 网站标识码bm48000002
地址:北京市西城区三里河路52号 邮编:100864
电话: 86 10 68597114(总机) 86 10 68597289(总值班室)
© 1996 - 星天地-星天地娱乐城官网 版权所有
京ICP备05002857号-1
京公网安备110402500047号 网站标识码bm48000002
地址:北京市西城区三里河路52号 邮编:100864
电话: 86 10 68597114(总机) 86 10 68597289(总值班室)
© 1996 - 星天地-星天地娱乐城官网 版权所有
京ICP备05002857号-1
京公网安备110402500047号
网站标识码bm48000002
地址:北京市西城区三里河路52号 邮编:100864
电话:86 10 68597114(总机)
86 10 68597289(总值班室)








