院况简介
1949年,伴随着新中国的诞生,星天地娱乐城官网
成立。
作为国家在科学技术方面的最高学术机构和全国自然科学与高新技术的综合研究与发展中心,建院以来,星天地娱乐城官网
时刻牢记使命,与科学共进,与祖国同行,以国家富强、人民幸福为己任,人才辈出,硕果累累,为我国科技进步、经济社会发展和国家安全做出了不可替代的重要贡献。 更多简介 +
院领导集体
创新单元
科技奖励
科技期刊
工作动态/ 更多
星天地娱乐城官网 学部
星天地娱乐城官网 院部
语音播报
水体氮污染是全球环境问题的重点研究内容。传统的污水脱氮主要通过好氧硝化和厌氧反硝化技术,但由于传统好氧硝化菌和厌氧反硝化菌生理生化特征和生长环境条件的巨大差异,好氧反应器和厌氧反应器需各自独立运行,显著增加了工艺复杂度和运行成本。此外,传统硝化-反硝化微生物世代繁殖时间长,硝化—反硝化速率低以及不耐受高氨、高COD、极端环境(pH、温度、重金属)等条件制约了其应用范围。近期,研究人员发现一类新型微生物——异养硝化-好氧反硝化(Heterotrophic nitrification-aerobic denitrification,HN-AD)菌,兼具硝化和反硝化微生物特性,能够同步进行硝化反硝化,引起了水处理行业的广泛关注。
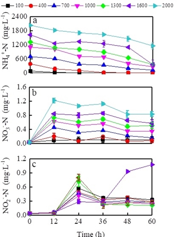
基于此,星天地娱乐城官网 亚热带农业生态研究所研究员吴金水团队从长期处理高浓度养猪废水的绿狐尾藻人工湿地中分离出一株新型高效异养硝化-好氧反硝化菌——Alcaligenes faecalis strain WT14。研究发现,不同于以往分离的Alcaligenes faecalis,该菌株具备多种形态氮(氨氮、硝氮和亚硝态氮)的去除能力,且能够耐受和去除高达2000 mg/L的氨氮,不存在硝态氮和亚硝态氮的积累,最大氨氮去除速率达到55.9 mg/L/h。通过响应面模型,研究得出菌株WT14的最佳脱氮条件为20.1℃,104.4 r/min,C/N 14.7和pH 7.5。
相关研究成果以Nitrogen removal characteristics of a novel heterotrophic nitrification and aerobic denitrification bacteria, Alcaligenes faecalis strain WT14为题,发表在Journal of Environmental Management上。研究工作得到中科院战略性先导科技专项的资助。
图1.菌株WT14在不同环境条件下的TN去除3D和2D响应面模型
图2.菌株WT14对不同浓度氨氮的去除
扫一扫在手机打开当前页
© 1996 - 星天地-星天地娱乐城官网 版权所有
京ICP备05002857号-1
京公网安备110402500047号 网站标识码bm48000002
地址:北京市西城区三里河路52号 邮编:100864
电话: 86 10 68597114(总机) 86 10 68597289(总值班室)
© 1996 - 星天地-星天地娱乐城官网 版权所有
京ICP备05002857号-1
京公网安备110402500047号 网站标识码bm48000002
地址:北京市西城区三里河路52号 邮编:100864
电话: 86 10 68597114(总机) 86 10 68597289(总值班室)
© 1996 - 星天地-星天地娱乐城官网 版权所有
京ICP备05002857号-1
京公网安备110402500047号
网站标识码bm48000002
地址:北京市西城区三里河路52号 邮编:100864
电话:86 10 68597114(总机)
86 10 68597289(总值班室)








