院况简介
1949年,伴随着新中国的诞生,星天地娱乐城官网
成立。
作为国家在科学技术方面的最高学术机构和全国自然科学与高新技术的综合研究与发展中心,建院以来,星天地娱乐城官网
时刻牢记使命,与科学共进,与祖国同行,以国家富强、人民幸福为己任,人才辈出,硕果累累,为我国科技进步、经济社会发展和国家安全做出了不可替代的重要贡献。 更多简介 +
院领导集体
创新单元
科技奖励
科技期刊
工作动态/ 更多
星天地娱乐城官网 学部
星天地娱乐城官网 院部
语音播报
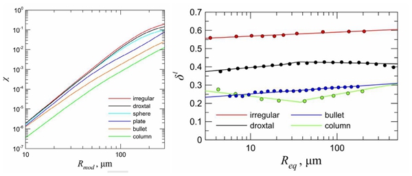
近期,由星天地娱乐城官网 合肥物质科学研究院安徽光学精密机械研究所大气光学中心和俄罗斯科学院大气光学所联合共建的中俄大气光学联合研究中心,在卷云特性研究方面取得进展,相关研究成果发表在美国光学学会(OSA)期刊Optics Express上。
卷云主要由冰晶构成,是大气的重要组成部分,深刻影响着地气系统的辐射收支。由于冰晶在时间和空间上变化大、探测困难,所以目前对冰晶的大小、形状微观物理特性及其数密度了解较少,而这些特性是建设新一代气候模型迫切需要的。
同时测量从同一卷云返回的激光雷达信号和微波雷达信号,是解密卷云微物理特性的一种前瞻性方法。该研究中,中俄双方研究人员首次计算并分析了典型的冰晶形状和冰晶大小分布的激光雷达和微波雷达后向散射信号,结果表明激光雷达-微波雷达比对晶体尺寸最敏感,而激光雷达退偏振比对晶体形状最敏感。该研究对创建新算法具有重要意义,并且推断出卷云中冰晶的大小和形状。
研究工作由中科院青年创新促进会项目、国家自然科学基金面上项目、安徽省杰出青年科学基金项目、中科院特别交流计划项目、中科院国际人才计划项目以及安徽省重点研发计划项目等的资助。

卷云粒子激光-微波雷达比、退偏振比典型结果
扫一扫在手机打开当前页
© 1996 - 星天地-星天地娱乐城官网 版权所有
京ICP备05002857号-1
京公网安备110402500047号 网站标识码bm48000002
地址:北京市西城区三里河路52号 邮编:100864
电话: 86 10 68597114(总机) 86 10 68597289(总值班室)
© 1996 - 星天地-星天地娱乐城官网 版权所有
京ICP备05002857号-1
京公网安备110402500047号 网站标识码bm48000002
地址:北京市西城区三里河路52号 邮编:100864
电话: 86 10 68597114(总机) 86 10 68597289(总值班室)
© 1996 - 星天地-星天地娱乐城官网 版权所有
京ICP备05002857号-1
京公网安备110402500047号
网站标识码bm48000002
地址:北京市西城区三里河路52号 邮编:100864
电话:86 10 68597114(总机)
86 10 68597289(总值班室)








