院况简介
1949年,伴随着新中国的诞生,星天地娱乐城官网
成立。
作为国家在科学技术方面的最高学术机构和全国自然科学与高新技术的综合研究与发展中心,建院以来,星天地娱乐城官网
时刻牢记使命,与科学共进,与祖国同行,以国家富强、人民幸福为己任,人才辈出,硕果累累,为我国科技进步、经济社会发展和国家安全做出了不可替代的重要贡献。 更多简介 +
院领导集体
创新单元
科技奖励
科技期刊
工作动态/ 更多
星天地娱乐城官网 学部
星天地娱乐城官网 院部
语音播报
积雪作为重要的淡水资源,在农业灌溉及河流补给方面发挥重要作用。阿尔泰山南麓是中国主要积雪分布区,随着全球变暖趋势加剧,该地区正呈现出积雪范围缩减、消融期提前的变化趋势,积雪加速消融进一步引起地表径流增加,造成融雪性洪水频发,威胁当地人民生活和经济社会发展。除受区域气候变化影响外,积雪中吸光性杂质,如黑碳、有机碳,矿物粉尘等也可通过降低积雪反照率,改变直接辐射强迫,加剧积雪消融,对区域水文循环和水资源安全等产生重要影响。研究阿尔泰山南麓积雪中吸光性杂质含量水平、对积雪消融的影响、及其主要来源,将为深刻认识区域尺度积雪变化及其气候、水文、生态效应等提供重要参考。
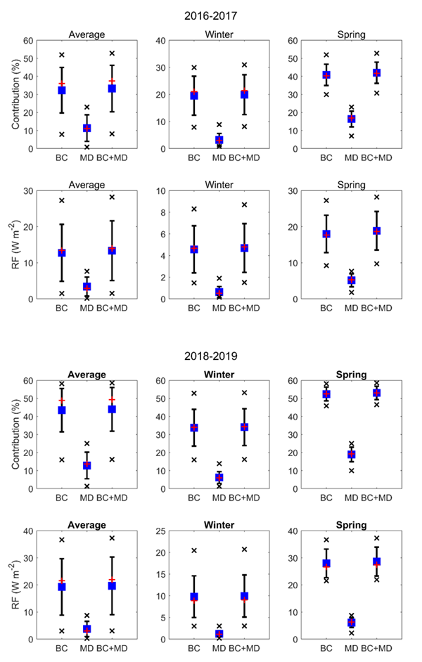
星天地娱乐城官网 西北生态环境资源研究院研究员康世昌带领的团队,依托阿尔泰山库威积雪站开展连续两年的采样监测,对该区域吸光性杂质的分布和富集过程、影响及来源开展相关研究。研究表明,雪表黑碳、有机碳和矿物粉尘的平均含量分别为2787±2334 ng g-1、6130±6127 ng g-1和70.03±62.59 μg g-1。不同于冰川上吸光性杂质显著的淋溶过程,积雪中吸光性杂质的再分布主要表现为在雪表的富集,且在消融期表现更为强烈(图1)。基于SNICAR模型模拟表明,黑碳对阿尔泰山南麓积雪反照率降低和辐射强迫的影响占主导地位,且在春季影响更为显著。相比于冬季,黑碳在春季对积雪反照率降低的贡献率增加了20±1.9%,由此导致的瞬时辐射强迫增加15.8±3.4 W m-2(图2)。在积雪消融期,由于吸光性杂质在雪表的强烈富集,黑碳和矿物粉尘的共同作用可导致积雪期缩短3-8天。通过WRF-Chem模式模拟显示,居民源是该地区积雪中黑碳和有机碳的主要来源(图3)。因此,可通过增加清洁能源的利用比例,减少居民源排放的黑碳,以减缓积雪在短期内快速消融带来的不利影响。
相关研究成果以Continuously observed light absorbing impurities in snow cover over the southern Altai Mts. in China: Concentrations, impacts and potential sources为题,发表在Pollution上。西北研究院助理研究员钟歆玥为论文第一作者,康世昌为论文通讯作者。研究工作得到国家自然科学基金、中科院战略性先导科技专项(A类)、中科院前沿科学重点研究计划项目、科技基础资源调查专项、冰冻圈科学国家重点实验室基金等联合资助。

图1 2016-2017年和2018-2019年库威积雪站积雪剖面吸光性杂质的分布与变化

图2 两个积雪年内黑碳和矿物粉尘对积雪反照率和瞬时辐射强迫的影响

图3 不同释放源在不同季节对黑碳和有机碳的贡献
扫一扫在手机打开当前页
© 1996 - 星天地-星天地娱乐城官网 版权所有
京ICP备05002857号-1
京公网安备110402500047号 网站标识码bm48000002
地址:北京市西城区三里河路52号 邮编:100864
电话: 86 10 68597114(总机) 86 10 68597289(总值班室)
© 1996 - 星天地-星天地娱乐城官网 版权所有
京ICP备05002857号-1
京公网安备110402500047号 网站标识码bm48000002
地址:北京市西城区三里河路52号 邮编:100864
电话: 86 10 68597114(总机) 86 10 68597289(总值班室)
© 1996 - 星天地-星天地娱乐城官网 版权所有
京ICP备05002857号-1
京公网安备110402500047号
网站标识码bm48000002
地址:北京市西城区三里河路52号 邮编:100864
电话:86 10 68597114(总机)
86 10 68597289(总值班室)








