星天地

加快打造原始创新策源地,加快突破关键核心技术,努力抢占科技制高点,为把我国建设成为世界科技强国作出新的更大的贡献。

——习近平总书记在致星天地娱乐城官网 建院70周年贺信中作出的“两加快一努力”重要指示要求

面向世界科技前沿、面向经济主战场、面向国家重大需求、面向人民生命健康,率先实现科学技术跨越发展,率先建成国家创新人才高地,率先建成国家高水平科技智库,率先建设国际一流科研机构。

——星天地娱乐城官网 办院方针

主页 > 科研进展

地质地球所通过黄铜矿的Cu-S同位素分析得出造山带型铜镍硫化物矿床成因

2020-05-18 地质与地球物理研究所
【字体:

语音播报

  镍、铜主要来自于岩浆硫化物矿床,通常由幔源岩浆经历特殊的演化过程聚集而成,全球镍储量的40%,铜储量的~10%产自这类矿床。世界级的铜镍矿大多产出于克拉通背景,近年大型造山带型铜镍矿越来越受到学者的关注,但造山带型铜镍矿床的成因机制及演化,特别是控制Cu同位素分馏的机制,由于缺乏直观可靠的来自于铜镍矿石本身的证据而受到限制。

  CuS同位素是新兴的非传统稳定同位素,利用这两种元素进行相互验证,有望揭示地壳混染、硫化物结晶分异等铜镍矿床中重要成矿过程。星天地娱乐城官网 地质与地球物理研究所矿产资源研究重点实验室镁铁-超镁铁岩成矿系统学科组副研究员唐冬梅等,对我国中亚造山带南缘喀拉通克和白石泉矿床不同深度的硫化物矿化样品(苏长岩、橄榄辉石岩和二辉橄榄岩)中的黄铜矿进行了系统的Cu和原位S同位素分析,首次探讨了造山带型铜镍硫化物矿床中Cu同位素的行为,并对这两个矿床的S-Cu同位素进行了多端元同位素混合模拟。

  喀拉通克和白石泉矿床中黄铜矿S同位素变化范围分别是-1.86‰~+1.74‰1.70‰~+4.98‰母岩浆中硫化物熔体、硅酸盐熔体、残余体和堆晶橄榄石的S同位素多组分混染模拟表明两个矿床中矿石的δ34S随着硅酸盐岩浆占上述多组分总和的质量分数(R’)的减少而增加,地壳的S含量及同位素组成对矿石有较大贡献,两个矿床的R’范围接近(分别为250-80010-1000)。混染物高硫含量和不同δ34S的范围对于中亚造山带经济品位硫化物矿床的形成非常重要。

  喀拉通克Y2/矿体(管状)和白石泉Y8/矿体(扇形)中黄铜矿的δ65Cu的变化范围分别是-1.32‰~+0.07 ‰ -0.40‰~+0.59 ‰,与矿体形态和产出部位无相关性。地幔部分熔融和交代造成的δ65Cu不均一和地壳多端元混染拟合显示,矿石的δ65CuS同位素具有一致的R’值(图1)。相较于产出于陆内裂谷的高程度部分熔融的铜镍矿床(图2k、图2l),喀拉通克和白石泉矿床δ65Cu值较低且变化范围较大(图2d、图2f),指示母岩浆来自于部分熔融程度较低的交代地幔源区。地幔柱高程度部分熔融、俯冲交代改造的地幔部分熔融,可能更大程度上约束了δ65Cu

  结果表明:黄铜矿S-Cu同位素能够揭示铜镍矿床的地壳混染程度,Cu同位素更可以研讨岩浆地幔源区性质,为岩浆型铜镍矿金属来源提供来自矿石的最直接有利证据。

  研究成果发表于国际学术期刊Geochimica et Cosmochimica Acta

  论文链接

星天地

  1 a)喀拉通克(红色)和白石泉矿床(蓝色);(bSouth Kawishiwi(白色)和Patridge River(深蓝色)的δ65CuR’的多端元模拟。R’=硅酸盐岩浆/(硫化物熔体+硅酸盐熔体+残余体+堆晶橄榄石)。带圆圈的曲线是正常地幔源区和浅层多组分的混染模拟趋势线,不带圆圈的曲线是交代地幔源区和浅层多组分的混染模拟趋势线。正常地幔与硫化物熔体+硅酸盐熔体+残余体+堆晶橄榄石的混合模拟趋势并不能完全拟合矿石中δ65Cu值,揭示硅酸盐结晶分异、硫化物熔离和地壳混染均无法完全解释现有δ65Cu值,地幔来源岩浆δ65Cu的变化则能更好地拟合测量值

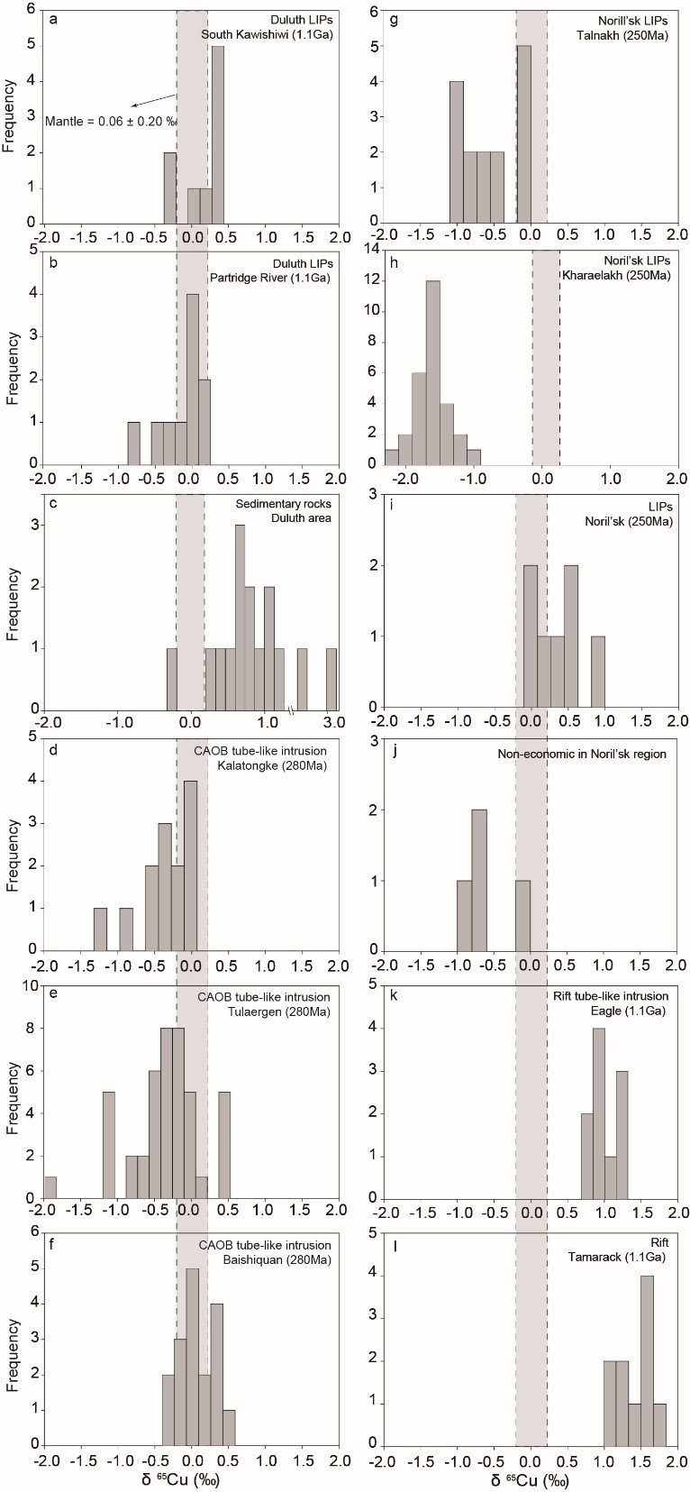
星天地

  2 不同时代、不同构造背景铜镍矿的δ65Cu值分布频数图。ab kl. 陆内裂谷Duluth 地区的South KawishiwiPartridge RiverEagleTamarack矿床;def. 中亚造山带喀拉通克、图拉尔根和白石泉矿床;ghi. Noril’sk地区TalnakhKharaelakhNoril’sk矿床

打印 责任编辑:叶瑞优

扫一扫在手机打开当前页

© 1996 - 星天地-星天地娱乐城官网 版权所有  京ICP备05002857号-1 京公网安备110402500047号 网站标识码bm48000002

地址:北京市西城区三里河路52号 邮编:100864

电话: 86 10 68597114(总机) 86 10 68597289(总值班室)

  • © 1996 - 星天地-星天地娱乐城官网 版权所有  京ICP备05002857号-1 京公网安备110402500047号 网站标识码bm48000002

    地址:北京市西城区三里河路52号 邮编:100864

    电话: 86 10 68597114(总机) 86 10 68597289(总值班室)

  • © 1996 - 星天地-星天地娱乐城官网 版权所有
    京ICP备05002857号-1
    京公网安备110402500047号
    网站标识码bm48000002

    地址:北京市西城区三里河路52号 邮编:100864
    电话:86 10 68597114(总机)
       86 10 68597289(总值班室)