院况简介
1949年,伴随着新中国的诞生,星天地娱乐城官网
成立。
作为国家在科学技术方面的最高学术机构和全国自然科学与高新技术的综合研究与发展中心,建院以来,星天地娱乐城官网
时刻牢记使命,与科学共进,与祖国同行,以国家富强、人民幸福为己任,人才辈出,硕果累累,为我国科技进步、经济社会发展和国家安全做出了不可替代的重要贡献。 更多简介 +
院领导集体
创新单元
科技奖励
科技期刊
工作动态/ 更多
星天地娱乐城官网 学部
星天地娱乐城官网 院部
语音播报
近日,来自星天地娱乐城官网 近代物理研究所与北京大学的科研人员,利用Gamow壳模型研究了31F的晕结构。根据模型计算的原子核性质,研究人员推测31F是一个双中子晕核。该成果以快速通讯(Rapid Communications)的形式发表在期刊Physical Review C上。
β稳定线附近的原子核具有良好的稳定性。随着质子或中子的增加,原子核将逐渐远离β稳定线,接近质子或中子滴线,原子核逐渐变得弱束缚或者非束缚。滴线区附近的原子核也会出现一些奇特的物理现象,如晕现象。在晕核中,价核子广泛地弥散并微弱地束缚在“核芯”周围。
原子核的晕现象已经在滴线区原子核中被发现。由于晕核中原子核的弱束缚以及与周围连续态的耦合效应,理论上描述晕核依然存在很大挑战。
作为普通壳模型的扩展,Gamow壳模型可以很好地描述晕核的奇特结构。它能很好地处理核子之间的相互关联,并考虑与连续态和共振态的耦合效应,因此非常适合用来描述弱束缚或非束缚原子核的特性。
在中重核区,31F是比较特殊的原子核,它是氟同位素的滴线原子核,具有较小的双中子分离能,此前也有实验提出31F有可能是一个双中子晕核。
为了研究31F的晕结构,近代物理所与北京大学的研究者合作,利用Gamow壳模型计算和研究了31F基态波函数及其他性质。科研人员优化了有效核力,标记为GSM-EFT和GSM-FHT。利用Gamow壳模型计算了丰中子F同位素的结合能,并与未考虑连续态效应的计算结果以及实验数据进行比较。
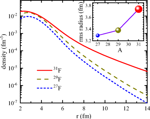
研究人员计算了滴线区F同位素27,29,31F的单体密度以及均方根半径。可以明显看到31F的波函数弥散到比较远的空间中,然而27,29F的波函数局部分布在原子核附近(如图2所示)。同时,研究者也检验了31F的两体关联密度与27,29F两体关联密度在渐进区域的分布性质。
根据Gamow壳模型计算的27,29,31F原子核性质,研究人员推测31F是一个双中子晕核,并提议实验核物理学家展开进一步的实验论证,发现31F的双中子晕特性。31F将有可能是已知的最重的双中子晕核。
该工作得到国家自然科学基金项目、国家重点研发计划项目的支持。


扫一扫在手机打开当前页
© 1996 - 星天地-星天地娱乐城官网 版权所有
京ICP备05002857号-1
京公网安备110402500047号 网站标识码bm48000002
地址:北京市西城区三里河路52号 邮编:100864
电话: 86 10 68597114(总机) 86 10 68597289(总值班室)
© 1996 - 星天地-星天地娱乐城官网 版权所有
京ICP备05002857号-1
京公网安备110402500047号 网站标识码bm48000002
地址:北京市西城区三里河路52号 邮编:100864
电话: 86 10 68597114(总机) 86 10 68597289(总值班室)
© 1996 - 星天地-星天地娱乐城官网 版权所有
京ICP备05002857号-1
京公网安备110402500047号
网站标识码bm48000002
地址:北京市西城区三里河路52号 邮编:100864
电话:86 10 68597114(总机)
86 10 68597289(总值班室)








