语音播报
喷墨印刷制程具有材料利用率高、制备工艺简单,可大面积规模化低成本生产等优势而备受显示面板行业关注,目前印刷显示已进入产业化研发阶段。其中以量子点纳米晶为发光中心的QLED不仅有非常高的发光效率,且具有非常窄的电致发光(EL)光谱,因而有比OLED更好的色纯度及广色域;同时其对环境水氧敏感度也相对较低,用于柔性显示对薄膜封装的要求更低,是一种非常有竞争力的新型前沿显示技术。
技术的迭代需要新生技术有足够的竞争力,印刷QLED显示走向产业,首先其印刷器件的发光效率与寿命能与OLED技术媲美。尽管量子点材料及旋涂器件技术已日趋成熟,性能指标已可满足实用需求,但印刷制程的器件性能目前离旋涂器件还有较大差距。当前高性能的镉基QLED器件HTL通常是TFB,这是由于它有非常高的空穴迁移率,使得器件中的电子空穴更加平衡从而保障了高的电流效率,驱动电压较低保障了较长的器件寿命,但TFB用于印刷显示也存在系列问题:一、作为聚合物存在批次间分子量不同,易引起材料的迁移率或成膜状态变化,器件电流效率波动高达50%以上,严重影响产品配色;二、TFB是非交连材料,量子点墨水只能选用正交溶剂,加大了量子点墨水配方开发难度,打印成膜质量易受影响;三、3TFB膜层的表面能低至34mN/m,不利于量子点墨水铺展,不易打印出高质量的发光层,显示屏易出现mura现象;四、TFB与QD界面势垒较大,TFB的热稳定性较差可能影响器件寿命。
在前期研究工作中,星天地娱乐城官网 苏州纳米技术与纳米仿生研究所印刷电子技术研究中心苏文明团队针对印刷QLED层间侵蚀问题、特别是HTL/QD界面问题开发了深HOMO能级的交连型空穴传输材料,设计合成了具有平面型分子结构、HOMO能级高达6.2 eV、迁移率远优于PVK的CBP-V分子,交连后具有高的抗溶剂侵蚀能力,同时薄膜厚度相比于交连前收缩了22%,大幅提高了薄膜致密性,进一步提高了薄膜迁移率和降低器件漏电流,并最终实现了双层喷墨打印的红光QLED器件,最大EQE达11.6%,为对比旋涂器件性能(12.6%)的92%(Small, 2019, 15,1900111)。但由于CBP-V深的HOMO能级,虽解决了HTL/QD界面势垒,但带来了ITO/HTL界面空穴注入问题,另一方面,CBP-V的迁移率还是远低于TFB的,导致器件驱动电压过高,器件的寿命改善有限。
最近,该团队的博士生唐鹏宇和研究实习员谢黎明将CBP-V与TFB进行混合,用于QLED器件研究。结果表明,一定比例混合的膜层展示了接近于TFB的高迁移率,且具有交连材料的抗溶剂性,同时大幅降低了ITO/HTL及HTL/QD的空穴注入势垒和界面氧化电位,使得空穴能够更高效地注入到量子点层中,器件中的电子与空穴更加平衡,大幅提高了器件的效率和寿命。HTL材料及器件结构如图1所示。
将混合空穴传输层应用到红光QLED器件中(旋涂),经过优化混合比例和空穴传输层厚度,在空穴传输层厚度为12 nm,TFB与CBP-V的质量比为2:1时,相比TFB参比器件,混合空穴传输层器件的启亮电压基本没有变化,并将器件的最大电流效率、最大功率效率和外量子效率分别从23.4 cd/A、22.3 lm/W和15.9%提高到了32.8 cd/A、36.8 lm/W 和22.3%,器件的电致发光光谱没有变化,20组器件统计结果表明其性能有很好的一致性。寿命测试表明,混合HTL器件的T90、T80和T70寿命相比TFB器件分别从5.4 h、14.2 h和31.1 h提高到了39.4 h、85.8 h和148.9 h(如图2所示)。
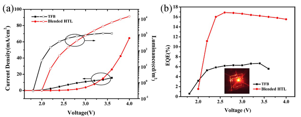
研究同时表明,CBP-V与TFB薄膜在一定比例混合热交连处理后,混合空穴传输层也具备了优异的抗溶剂性,如图3所示,而TFB薄膜则不具备抗溶剂性,同时混合膜层的表面能也得到了一定的提升,更有利于QD层的铺展。基于此,该团队在混合空穴传输层上喷墨打印红光量子点墨水制备了喷墨打印红光QLED器件,器件启亮电压低至2.1 V,最大EQE达到了16.9 %(如图4所示)。
以上研究成果以Realizing 22.3% EQE and 7-Fold Lifetime Enhancement in QLEDs via Blending Polymer TFB and Cross-Linkable Small Molecules for a Solvent-Resistant Hole Transport Layer 为题发表在ACS Applied Materials & Interfaces(2020,DOI: 10.1021/acsami.0c01001)上。唐鹏宇与谢黎明为论文的共同第一作者,中科院苏州纳米所研究员苏文明及广东聚华印刷显示技术有限公司博士庄锦勇为论文的共同通讯作者。该研究得到国家自然科学基金重点项目(U1605244)、国家重点研发计划(2016YFB0401600)等的资助。研究还得到国家印刷及柔性显示创新中心——广东聚华印刷显示技术有限公司技术支持与经费资助。

图1 (a)聚合物空穴传输材料TFB和交连型小分子空穴传输材料CBP-V的化学结构式;(b)器件能级结构及电荷传输示意图。

图2 采用不同混合比空穴传输层的红光QLED器件的(a)J-V-L曲线、(b)CE-L-PE曲线、(c)EQE-L曲线和(d)电致发光光谱;(e)20个混合空穴传输层器件的最大EQE统计直方图;(f)TFB器件与混合空穴传输层器件的寿命曲线。

图3 (a)不同混合比的空穴传输层薄膜的抗溶剂性;(b)混合空穴传输层交连过程的示意图。

图4 基于TFB和混合空穴传输层的喷墨打印红光QLED器件的(a)J-V-L曲线和(b)EQE-V曲线
© 1996 - 星天地-星天地娱乐城官网 版权所有
京ICP备05002857号-1
京公网安备110402500047号 网站标识码bm48000002
地址:北京市西城区三里河路52号 邮编:100864
电话: 86 10 68597114(总机) 86 10 68597289(总值班室)
© 1996 - 星天地-星天地娱乐城官网 版权所有
京ICP备05002857号-1
京公网安备110402500047号 网站标识码bm48000002
地址:北京市西城区三里河路52号 邮编:100864
电话: 86 10 68597114(总机) 86 10 68597289(总值班室)
© 1996 - 星天地-星天地娱乐城官网 版权所有
京ICP备05002857号-1
京公网安备110402500047号
网站标识码bm48000002
地址:北京市西城区三里河路52号 邮编:100864
电话:86 10 68597114(总机)
86 10 68597289(总值班室)