语音播报
在农田生态系统中,化肥和农药的大量使用在给农业生产带来巨大效益的同时,也对生态环境产生了一定的负面影响。残留的化肥和农药通过人为或自然因素进入水体,对生活在其中的藻类、鱼类、两栖类等非靶标生物产生潜在的危害。两栖动物由于复杂的生活史和较高的水体依赖性使得其对环境变化更为敏感。同时,其幼体蝌蚪的鳃、受精卵甚至是皮肤都具有较高的通透性,水体中残留的化肥和农药很容易进入其体内并累积,进而引起机体的一系列不良反应。当水体中的污染物浓度达到或超过一定浓度时,机体将在细胞、组织、器官、个体性状、行为及生理生化水平等方面出现不良反应。
在星天地娱乐城官网 成都生物研究所研究员江建平的带领下,两栖动物多样性与保育团队以常见农田两栖类物种蝌蚪为对象,解析了常用化肥尿素(Urea)和常用草甘膦(Glyphosate)农药对两栖动物的生态毒理效应以及潜在的作用机制。
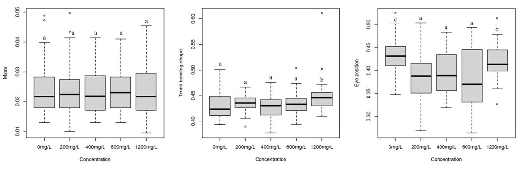
成都生物所赵天等以中华蟾蜍(Bufo gargarizans)蝌蚪为对象,研究了不同尿素溶液浓度曝露(0 mg/L,200 mg/L、400 mg/L、600 mg/L和1200 mg/L)对蟾蜍蝌蚪行为及功能形态的影响。研究发现,尿素曝露会降低中华蟾蜍蝌蚪的活动等级,从而影响其捕食、生长和个体竞争力(图1)。同时,随着处理组尿素溶液浓度的增加,中华蟾蜍蝌蚪的功能性状会发生改变,且不同发育时期的功能相似性会增加,从而增加了种内竞争的强度,影响个体的存活(图2)。研究结果以Effects of urea on behavior and functional traits of Asiatic toad (Bufo gargarizans) tadpoles 为题发表于Aquatic Ecology。
成都生物所王循刚和常利明等在朱未等人的指导下以饰纹姬蛙(Microhyla fissipes)蝌蚪为对象,系统研究了草甘膦农药对两栖动物蝌蚪存活率、温度偏好、生长发育、功能形态等方面的影响。结果表明,草甘膦对饰纹姬蛙蝌蚪的10天LC50为77.5 mg/L;在亚致死浓度下,草甘膦仍然可以显著抑制蝌蚪的生长和尾部发育(尾相对长度降低、肌纤维直径降低),并呈现出剂量依赖性。转录组学分析发现,草甘膦处理组的核糖体、细胞骨架蛋白(Myosin、Actin和Tubulin等)基因转录显著下调,与该组蝌蚪生长抑制和肌纤维直径降低的现象相一致。进一步分析发现,草甘膦处理后的蝌蚪糖代谢(SGLT、KHK、GPI-2、F_bP_aldolases等)和脂代谢(FBPs、LC-FACS等)相关基因转录下调,而氨基酸代谢相关基因转录上调,这意味着蝌蚪的主要能量代谢底物从糖类及脂类转变为氨基酸;此时,氨基酸同时作为合成(Anabolism)与分解(Catabolism)代谢的底物,加剧了蝌蚪生长与维持能量消耗之间的权衡(图3),从而解释了蛋白合成及骨架蛋白的转录下调。结合前人的研究成果,研究人员推测糖代谢和脂代谢相关酶类可能是草甘膦的主要毒理靶点之一,其所导致的基于氨基酸的能量代谢可能是草甘膦造成鱼类和两栖动物生长抑制的普遍代谢机制。另外,研究人员发现草甘膦处理下的蝌蚪对热的偏好性增加,推测其可能是在压力环境下的一种补偿性行为,可作为潜在的生态毒理预警指标。以上研究结果以Metabolic switch in energy metabolism mediates the sublethal effects induced by glyphosate-based herbicide on tadpoles of a farmland frog Microhyla fissipes 为题发表于Ecotoxicology and Environmental Safty。
以上研究工作得到重点研发计划、国家科技支撑项目、国家自然科学基金、西部之光“西部青年学者”项目等的资助。

图1 不同浓度尿素溶液对中华蟾蜍蝌蚪运动等级的影响。实验1和实验2代表不同的发育阶段。不同的字母代表存在显著性差异(P<0.05)。

图2 不同浓度尿素溶液对中华蟾蜍蝌蚪3个功能性状(体重、躯干弯曲形状和眼睛位置)的影响。不同的字母代表存在显著性差异(P<0.05)。

图3 草甘膦农药对饰纹姬蛙蝌蚪的毒理机制。
© 1996 - 星天地-星天地娱乐城官网 版权所有
京ICP备05002857号-1
京公网安备110402500047号 网站标识码bm48000002
地址:北京市西城区三里河路52号 邮编:100864
电话: 86 10 68597114(总机) 86 10 68597289(总值班室)
© 1996 - 星天地-星天地娱乐城官网 版权所有
京ICP备05002857号-1
京公网安备110402500047号 网站标识码bm48000002
地址:北京市西城区三里河路52号 邮编:100864
电话: 86 10 68597114(总机) 86 10 68597289(总值班室)
© 1996 - 星天地-星天地娱乐城官网 版权所有
京ICP备05002857号-1
京公网安备110402500047号
网站标识码bm48000002
地址:北京市西城区三里河路52号 邮编:100864
电话:86 10 68597114(总机)
86 10 68597289(总值班室)