院况简介
1949年,伴随着新中国的诞生,星天地娱乐城官网
成立。
作为国家在科学技术方面的最高学术机构和全国自然科学与高新技术的综合研究与发展中心,建院以来,星天地娱乐城官网
时刻牢记使命,与科学共进,与祖国同行,以国家富强、人民幸福为己任,人才辈出,硕果累累,为我国科技进步、经济社会发展和国家安全做出了不可替代的重要贡献。 更多简介 +
院领导集体
创新单元
科技奖励
科技期刊
工作动态/ 更多
星天地娱乐城官网 学部
星天地娱乐城官网 院部
语音播报
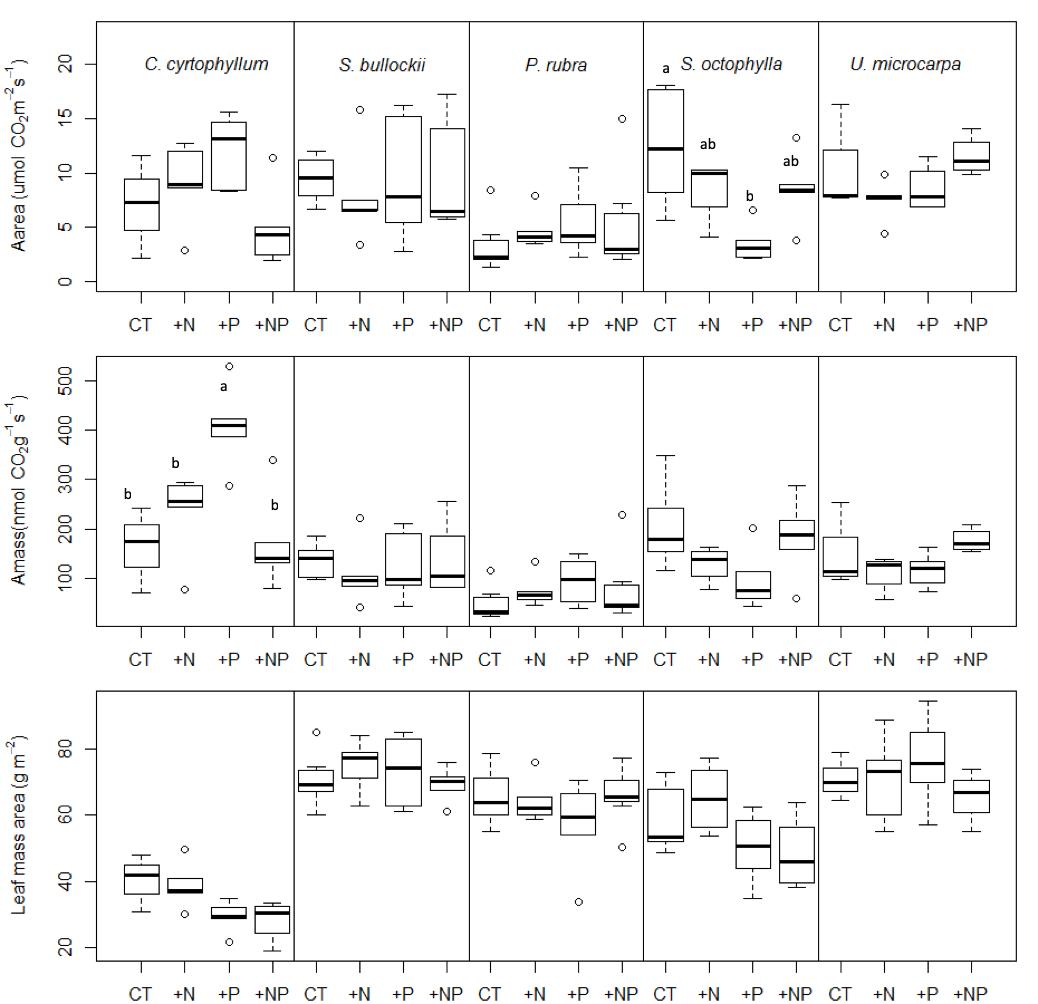
氮和磷是植物代谢的基本元素,同时也被认为是陆地生态系统初级生产力的限制因子。相比于温带森林,发育于高度风化土壤的热带森林更容易受到土壤磷有效性的限制。然而,热带森林维持着地球上最高的生产力,与热带森林土壤磷有效性较低存在矛盾。因此,解析热带森林植物在土壤低磷条件下高效利用磷的策略是植被生态领域的重要课题。
星天地娱乐城官网 华南植物园博士毕业生莫其锋(现就职华南农业大学)在站长李志安和博士王法明的指导下,利用在次生阔叶混交林建立的长期氮磷养分添加控制实验平台,通过测定不同植物的叶片光合能力和叶片功能性状以及叶片磷组分,系统地了解这些植物在叶片尺度上的低磷环境的适应机制。
研究发现,叶片氮磷比的结果表明该森林是磷限制的生态系统,施磷降低了叶片磷利用效率和比叶重但增加了叶片磷和氮的浓度,而施氮对叶片性状无显著影响。施磷仅增加了一个广布种的叶片光合能力而对其他四个狭布种无显著影响。进一步对叶片磷组分的研究发现,施磷处理增加了所有物种的代谢磷、结构磷和核酸磷组分,但其增加的尺度因种而异。
该研究表明热带森林植物通过改变叶片中磷的分布来满足光合作用对磷的需求,并且东亚地区的热带森林的典型植物能够在低磷的土壤环境中维持相对稳定的光合速率。通过该项研究,认为由于热带植物进化的适应机制,低磷对热带森林植物的光合能力的限制比预想的要小得多。不同植物的叶片磷组分的分配策略是其重要的对低磷环境的适应机制。
该研究成果于近日在英国生态学会期刊Functional Ecology上发表。

图1.热带次生林5种木本植物叶片光合速率和比叶面积对氮磷添加的响应

表1.热带次生林5种木本植物叶片磷组分对氮磷添加的响应
© 1996 - 星天地-星天地娱乐城官网 版权所有
京ICP备05002857号-1
京公网安备110402500047号 网站标识码bm48000002
地址:北京市西城区三里河路52号 邮编:100864
电话: 86 10 68597114(总机) 86 10 68597289(总值班室)
© 1996 - 星天地-星天地娱乐城官网 版权所有
京ICP备05002857号-1
京公网安备110402500047号 网站标识码bm48000002
地址:北京市西城区三里河路52号 邮编:100864
电话: 86 10 68597114(总机) 86 10 68597289(总值班室)
© 1996 - 星天地-星天地娱乐城官网 版权所有
京ICP备05002857号-1
京公网安备110402500047号
网站标识码bm48000002
地址:北京市西城区三里河路52号 邮编:100864
电话:86 10 68597114(总机)
86 10 68597289(总值班室)








