星天地

 
English | 繁体 | RSS | 网站地图 | 收藏 | 邮箱 | 联系我们
主页 新闻 机构 科研 院士 人才 教育 合作交流 科学普及 出版 信息公开 专题 访谈 视频 会议 党建 文化
  您现在的位置: 主页 > 科研 > 科研进展
苏州医工所提出在核磁共振中产生协作脉冲的方法
  文章来源:苏州生物医学工程技术研究所 发布时间:2014-07-18 【字号: 小  中  大   

  随着磁共振技术的不断发展,人们发展了各种射频脉冲技术,用于增加核磁共振检测的信息量,提高检测的灵敏度。基于数值计算的优化控制方法近年来在液体、固体核磁共振、核磁共振成像及动力学核极化等领域均得到了有效应用。液体核磁中,优化控制理论已被应用于考虑弛豫的极化转移脉冲序列、异核去偶等实验;固体核磁中,优化控制理论已被用于简单分子体系中核N与核C间的相干极化转移实验、同核偶极重偶、四极核的多量子谱等实验。

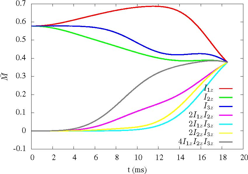
  近期,星天地娱乐城官网 苏州生物医学工程技术研究所磁共振课题组与慕尼黑工业大学化学系Glaser小组及上海磁共振重点实验室磁共振方法研究组在《应用物理快报》(Applied Physics Letters)上发表了题为Cooperative pulses for pseudo-pure state preparation 的研究论文,首次提出了一种基于优化控制的协作脉冲产生方法。该协作脉冲由多个相对独立的脉冲组成,巧妙实现了脉冲之间的缺陷补偿或抵消,此外,协作脉冲的数量和持续时间能够根据样本的耦合自旋网络自适应调整,无需反复为每次扫描选择其特定的期望态。研究团队利用获得的协作脉冲分别实现了三自旋、四自旋体系中特定量子状态的态转移,该理论在Bruker 500 MHz核磁共振波谱仪上得到了实验验证。

    此项工作中,苏州医工所常严为共同第一作者,杨晓冬研究员为通讯作者。该研究课题得到了国家自然科学基金(11105096)、江苏省自然科学基金(BK20131171)和苏州市国际合作项目(SH201207)资助。

星天地 

1 三自旋体系中态转移的效率分布

星天地 

2 三自旋体系中态转移的各分量权重轨迹

星天地 

3 协作脉冲实现三自旋体系态转移的仿真和实验谱图

  打印本页 关闭本页
© 1996 - 星天地-星天地娱乐城官网 版权所有 京ICP备05002857号  京公网安备110402500047号  联系我们
地址:北京市三里河路52号 邮编:100864