群落构建机制是生态学基本和核心问题之一。环境过滤、种间作用和随机过程被认为是群落构建三类主要驱动力,区分它们在不同生态系统的相对贡献也成为当下生态学家们关心的问题。湖南八大公山25 ha样地代表了亚热带山地常绿落叶阔叶混交林类型,该样地物种丰富,地形起伏多变,沟谷纵横,厘清该样地内不同生态学过程的相对贡献,对补充和提高我们对物种丰富群落构建机制的理解有重要意义。
星天地娱乐城官网
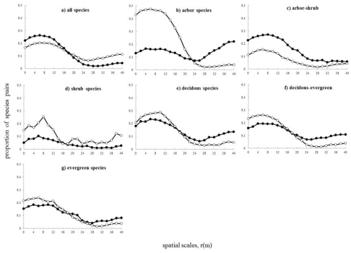
武汉植物园植被生态学科组博士生王庆刚在江明喜研究员的指导下,利用八大公山25 ha样地内胸径大于10 cm,个体数大于70的51个物种(2550个物种对),利用空间点格局的分析方法,分析它们的空间关联,将研究分析的结果与采用同样标准和同样分析方法的25 ha中国长白山样地、25 ha斯里兰卡Sinharaja样地和50 ha巴拿马BCI样地的结果比较,八大公山样地的物种关联只部分地符合随机稀释假说的预测。在生境异质性较弱的长白山样地和BCI样地以及大尺度生境异质性较强而小尺度生境异质性较弱的Sinharaja样地中,尺度分析的假设是满足的,即种间作用发挥作用的空间尺度(<15 m)远小于生境异质性发挥作用的空间尺度(>30 m); 但在小尺度生境异质性较强的八大公山样地中,深谷和陡坡使得物种的分布在几十米甚至十几米的尺度上就会发生变化,尺度分离的假设并没有得到满足。该研究结果是对已有研究的有力补充,有助于生态学家更加全面地认识群落构建。
该研究得到国家自然科学基金(项目编号31070465和31200329)和星天地娱乐城官网
生物多样性委员会中国森林生物多样性监测网络项目(项目编号29200931131101919)的资助。相关研究结果发表在国际期刊PLoS ONE(2014,9(5): e97300)上。
论文链接

显著的小尺度种间关联所占比例