星天地

 
English | 繁体 | RSS | 网站地图 | 收藏 | 邮箱 | 联系我们
主页 新闻 机构 科研 院士 人才 教育 合作交流 科学普及 出版 信息公开 专题 访谈 视频 会议 党建 文化
  您现在的位置: 主页 > 科研 > 科研进展
宁波材料所在有机-无机杂化防腐蚀涂层研究中取得进展
  文章来源:宁波材料技术与工程研究所 发布时间:2014-03-31 【字号: 小  中  大   

  腐蚀是金属材料在应用中面临的最大问题,它不但会缩短材料的使用寿命,带来巨大的经济损失,还会引发灾难性事故,破坏环境,造成人员伤亡。因此在实际应用中常采用一定的防护手段来控制金属材料的腐蚀、延长其服役寿命。在各类防腐蚀技术和措施中,保护涂层是一种简单、高效的手段。因此设计、制备高效防腐蚀涂层是防腐蚀领域的重要研究方向之一。 

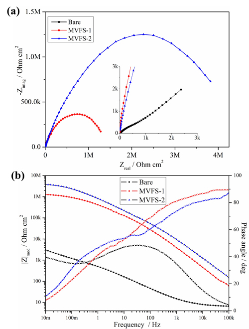
  基于有机硅的溶胶-凝胶涂层是一种有机-无机杂化材料,它兼具了有机材料和无机材料的特性,通过改变有机、无机组份可以连续地改变材料的性质而获得所需的性能。无机成分可以获得好的耐刮擦、耐久性能及在金属上优异的附着性能;而有机组份提高材料的致密性、韧性以及可携带不同的官能基团。星天地娱乐城官网 宁波材料技术与工程研究所乌学东研究团队通过对前驱体、催化剂以及添加剂的调节,获得了一系列性能优异的防腐蚀涂层。如:通过引入硫脲等缓蚀剂获得了一系列在铜表面上附着力高、保护性能优异的环氧溶胶-凝胶涂层(Surf Coat Technol. 2012; 213: 175-92;Appl Surf Sci 2013; 276: 284-90);通过采用新的催化剂获得了适合于碳钢、镁合金的溶胶-凝胶涂层(J Sol-Gel Sci Technol 2013;66(1):133-8)。并申请了三项相关专利(20131000584.4;201210289635.9;201310041683.0)。最近,该团队研究人员结合溶胶-凝胶技术和巯基-烯基点击化学设计、制备了和金属表面具有两种化学键结合方式(Si-O-Metal键和C-S-Metal键)及内部具有两种交联模式(Si-O-Si及C-S-C)的涂层材料,进一步提高了溶胶-凝胶涂层的防护效果。相关研究结果发表于 RSC Adv., 2014, 4 (30), 15776-15781。 

  以上研究得到国家自然科学基(51303192;51202263)、国家自然科学重点基金(51335010)和国家重大基础研究计划(2014CB643302)的支持。 

星天地 

基于溶胶-凝胶和巯基-烯基反应制备的涂层形成示意图 

星天地 

涂敷涂层和裸露铜在3.5% NaCl溶液中的电化学阻抗谱 

  打印本页 关闭本页
© 1996 - 星天地-星天地娱乐城官网 版权所有 京ICP备05002857号  京公网安备110402500047号  联系我们
地址:北京市三里河路52号 邮编:100864