星天地

 
English | 繁体 | RSS | 网站地图 | 收藏 | 邮箱 | 联系我们
主页 新闻 机构 科研 院士 人才 教育 合作交流 科学普及 出版 信息公开 专题 访谈 视频 会议 党建 文化
  您现在的位置: 主页 > 科研 > 科研进展
紫金山天文台对小行星表面热物理研究取得进展
  文章来源:紫金山天文台 发布时间:2014-03-26 【字号: 小  中  大   

  3月25日,Monthly Notices of the Royal Astronomical Society (MNRAS, 《英国皇家天文学会月刊》) 在线发表了星天地娱乐城官网 紫金山天文台研究员季江徽研究团队对小行星表面热物理研究成果,研究人员利用光学与红外天文观测数据,获得了目标小行星的三维形状模型,并揭示了其表面热物理特性等新结果。文章题目为Shape, thermal and surface properties determination of a candidate spacecraft target asteroid (175706) 1996 FG3 

  小行星一般是指围绕太阳运行的体积较小的岩石或金属天体。绝大多数小行星分布于火星和木星轨道之间的主带区域。由于质量较小,因此大多数小行星的形状很不规则。然而,这些体积虽小又无大气的小行星上却可能蕴含了地球生命和水体起源的重要线索,同时也蕴藏着太阳系形成初期的原始信息,因而对其研究具有重要的科学价值。 

  在众多小行星中,近地天体特别值得关注,因为它们的轨道与地球轨道很接近或相交,存在与地球相撞的可能,因此对地球与人类的安全构成了潜在的危险。2013年2月15日,俄罗斯车里雅宾斯克陨石事件中一颗直径约15m的小天体在空中发生爆炸致使1200人受伤,近3000座建筑受损,类似事件几十年发生一次。据估计在地球附近存在着数百万颗几十米大小的近地天体,它们撞击地球经常发生,对地球环境、人类和其他生物圈产生重大影响。 

  面对近地天体对地球与人类生存的威胁,联合国积极行动起来成立了基于国际合作的近地天体预警网络,利用专门的望远镜组成监测预警网络对其进行发现、跟踪与长期监测。国际上也纷纷将近地小行星作为一个空间探测的热点,通过近距离探测了解其物理特性、内部结构与组成成分等,以便将来采取合理的应对措施去减缓威胁。 

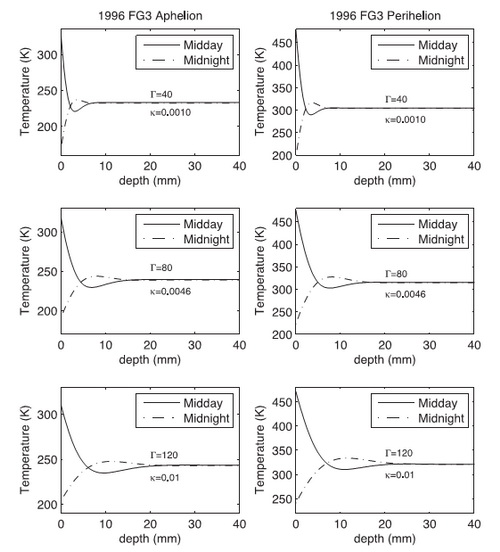
  紫金山天文台研究人员选择了小行星深空探测候选目标-1996 FG3开展研究,这是一颗C型近地双小行星,具有重要的科学研究价值。对其开展相关研究,不仅有助于揭示YORP效应导致形成双小行星机制与小尺寸近地天体的来源,探索碳质球粒陨石与小行星母体的关系揭示地球生命的可能起源。在该项研究工作中,研究人员利用光学与红外天文观测数据,首先基于光学数据通过光变曲线反演法得到了该小行星的三维形状模型,并通过建立热物理模型计算得到其表面温度分布(图1)。进而利用热物理模型数值拟合多组中红外观测数据,得到了该小行星表面热惯量约为80 Jm-2s-0.5K-1、平均直径约为1.69 km、表面粗糙度约为0.8,据此推测其表面可能存在类似于月壤或Eros小行星表面的风化层,并估算了其表壤最小的厚度约为5-20 mm (图2)。这些研究工作不仅有助于深化认识小行星的热物理特性,还为未来的小行星空间探测任务提供很好的科学依据与支撑。 

  该项研究工作得到了星天地娱乐城官网 行星科学重点实验室、星天地娱乐城官网 天文战略性先导科技专项(B类)、星天地娱乐城官网 新兴与交叉学科布局项目、国家自然科学基金等项目资助。 

  文章链接

星天地 

图1 1996FG3的三维形状与表面温度分布 

星天地 

图2 1996FG3表面风化层的最小厚度估计 

  打印本页 关闭本页
© 1996 - 星天地-星天地娱乐城官网 版权所有 京ICP备05002857号  京公网安备110402500047号  联系我们
地址:北京市三里河路52号 邮编:100864